Menu
Write a review
File a complaint
TeleCheck Services Profile

TeleCheck Services

www.telecheck.com

Learn how the rating is calculated

2.7

Overall customer rating from reviews and complaints

TeleCheck Services earns a 2.7-star rating from 0 reviews and 99 complaints, showing that the majority of merchants and consumers are somewhat satisfied with transaction processing.

Claim Your Business
Take control of your profile: address complaints and engage with reviews
Write a review File a complaint

Latest Reviews and Complaints

ComplaintsBoard
T
8:08 pm UTC
Verified customer The reviewer confirmed their account using Google. Learn more

TeleCheck Services Checking

Not the first time this asinine company has interfered in my personal business. Making someone wait 7 to 10 days to write another check when there is more than SUFFICIENT funds available is absolutely absurd. Get it together or I will seek legal assistance. It is so embarrassing standing in a checkout lane only to be told your check is declined then have to use another form of payment.

Read full complaint
Update by Tommy Enfinger
Mar 12, 2026 8:11 pm UTC

These people can barely speak English and they're trying to handle business in America! I am MORE than pissed off with this situation!

Hide full review

99 TeleCheck Services Complaints

ComplaintsBoard
M
6:38 pm UTC
Verified customer This complaint was posted by a verified customer. Learn more

TeleCheck Services Double charges to my checking account

I ordered from Amazon on 5/20/23 in the amount of $68.65 and on 5/23/23 in the amount of $163.47. Both items were drafted from my checking account via Telecheck, NOT BECAUSE OF INSUFFICIENT FUNDS! I was double charged for both purchases and my bank returned the extra charges. Two days later I was sent to a collection agency (TRS Recovery). This is an attempt to collect money they are not owed and is nothing more than fraud! Telecheck is a fraud.

Desired outcome: I want a written apology from all three companies. I want proof that my credit has not been impacted.

Read full complaint
Hide full review
ComplaintsBoard
R
11:55 pm UTC

TeleCheck Services This website

Wow, Telecheck looks like you need to resolve your issues, And why are businesses still using them? They should have been GONE a long time ago. Oh and by the way, this is what happens when people in another COUNTRY take your calls to fix what is going on in the USA, Think about that's how these folks take your info and use it to con you out of money, They send your info all over for these scam artist to use on you. My thing is why are our companies in the USA letting people in other countries take our info! Shame to all the companies in the USA for not hiring AMERICANS

Read full complaint
Hide full review
ComplaintsBoard
C
8:19 am UTC
Verified customer This complaint was posted by a verified customer. Learn more

TeleCheck Services ACH payment declined per merchant

I don't know who is lying, but given all the facts i can collect, telecheck is a legal scam. My son has 5 student loans w/ college ave that i used to pay monthly using a cc. college ave decided no more cc's, so i set up ach w/ my bank. college ave deleted all of my scheduled auto pays with no explanation. When i contacted them, they said telecheck declined the transactions and i needed to contact them. When i did, i found out there is zero means of contacting a human via the website or phone. I was asked for a decline code, so i contacted college ave for that info (GF they pro-actively provide this to me). college ave said they do not have any such thing and i should contact my bank. my bank tells me they never even received a payment request from college ave and have no record of any contact from them or telecheck. So college ave is lying because they must have received something from telecheck, otherwise how could they know telecheck declined anything. The major issue is telecheck's absolute refusal to communicate with me.

Desired outcome: Get out of my way and out of my life. I have money in the bank and how i choose to spend it is up to me, not you. Get out from behind your iron curtain and provide information to those of us subject to your egregious behavior.

Read full complaint
Hide full review

Is TeleCheck Services Legit?

TeleCheck Services earns a trustworthiness rating of 100%

Highly recommended, but caution will not hurt.

Our conclusion: TeleCheck Services stands out for their exceptional legitimacy, according to ComplaintsBoard’s detailed analysis. This highlights TeleCheck Services's reputation as a trustworthy leader in their field. Customers can rely on TeleCheck Services's services, assured they're dealing with a highly reputable and fully legitimate company.

We found clear and detailed contact information for TeleCheck Services. The company provides a physical address, 4 phone numbers, and 2 emails, as well as social media account. This demonstrates a commitment to customer service and transparency, which is a positive sign for building trust with customers.

Telecheck.com has a valid SSL certificate, which indicates that the website is secure and trustworthy. Look for the padlock icon in the browser and the "https" prefix in the URL to confirm that the website is using SSL.

Telecheck.com has been deemed safe to visit, as it is protected by a cloud-based cybersecurity solution that uses the Domain Name System (DNS) to help protect networks from online threats.

Telecheck.com you are considering visiting, which is associated with TeleCheck Services, is very old. Longevity often suggests that a website has consistently provided valuable content, products, or services over the years and has maintained a stable user base and a sustained online presence. This could be an indication of a very positive reputation.

The domain associated with TeleCheck Services is registered with a high-end registrar, which can be an indicator of the company's commitment to maintaining a secure and reputable online presence.

Adult content may be available on telecheck.com. It is important to be aware of potential risks and to use caution when accessing or engaging with such content.

Telecheck.com regularly updates its policies to reflect changes in laws, regulations. These policies are easy to find and understand, and they are written in plain language that is accessible to all customers. This helps customers understand what they are agreeing to and what to expect from TeleCheck Services.

However ComplaintsBoard has detected that:

  • That one telecheck.com is embedded within another website. Beware of embedded websites. Scammers may use them to trick you into visiting fake sites. Verify authenticity before entering personal information and research the site for safety
  • Telecheck.com has relatively low traffic compared to other websites, it could be due to a niche focus, but could also indicate a potential lack of traffic and popularity. The telecheck.com may offer a niche product or service that is only of interest to a smaller audience.
ComplaintsBoard
M
11:02 am UTC
Verified customer This complaint was posted by a verified customer. Learn more

TeleCheck Services Use of my checks and my debit card, denied.

Friday, Jan 27th, 2023, I had gone to my local ATM to check my checking acct. It came on the screen, process denied. Then I get an email on Saturday, that fraudulent activities, from Telecheck, and a list of transactions on Jan 27th was on the screen. I called and spoke with a lady, and she read off the transactions, and told her the ones I did not make. Even from out of country. I called my bank Monday, to find out if there was a problem with my checking acct. and also stopped all transactions on my debit card. New one being sent to me. I do not understand why? This is happening to me. I live in Lynn, WV. Never been out of the country. Retired, bother no one. And my checking acct with people's bank, is solid and, as I said, the banker told me there is nothing wrong with my banking, and that they do not have anything to do with telecheck. Please, please release the hold on my checks, debit card, asp. I live from month to month and need to be able to use my accounts.

Desired outcome: WANT MY SERVICE OF USING MY CHECKS AND DEBIT CARD RETURNED TO ME ASAP.

Read full complaint
Hide full review
ComplaintsBoard
A
1:31 am UTC

TeleCheck Services Lack of ability to fix a problem and find a resolution

I have been declined by TeleCheck over and over BUT they never contacted my bank. This has impacted me; I cannot purchase items from Amazon such as household items, petfood, Christmas presents. The representatives do not speak English well and are hard to understand. They do not trouble shoot and provide resolution but rather read scripts over and over.

Desired outcome: FIX the problem

Read full complaint
Hide full review
ComplaintsBoard
D
8:21 pm UTC

TeleCheck Services Customer complaint

My name is Derwin Davis and I tried to research the reason why I needed to call your number [protected]. I selected option 1 and your representative sounded like she was asleep at approximately 7:00 PM CST. She became very rude with me when I told her that I could not understand her and asked her name. She then abruptly hung the phone up on me and would not answer my returned call. This is as terrible customer service!

Derwin Davis

[protected]

[protected]@yahoo.com

Desired outcome: Please coach her on proper treatment of your customers

Read full complaint
Update by derwindavis40
Nov 12, 2022 12:39 pm UTC

My name is Derwin Davis and I tried to research the reason why I needed to call your number [protected]. I selected option 1 and your representative sounded like she was asleep at approximately 7:00 PM CST. She became very rude with me when I told her that I could not understand her and asked her name. She then abruptly hung the phone up on me and would not answer my returned call. This is as terrible customer service!

Hide full review
ComplaintsBoard
G
10:33 pm UTC
Verified customer This complaint was posted by a verified customer. Learn more

TeleCheck Services That this never happens to me again.

On 09/28/2022 I wrote a personal check to pay for new glasses at our local Walmart Eye Center. I have been a customer there for years. The clerk ran my check thru once and it was declined. She then asked for my driver license and used that information for a second attempt to run the check but once again, it was declined. REASON:02 however, next to the toll free phone number was /CODE 4. The situation was uncomfortable for me, thank goodness I had my credit card to pay my $414.00 bill because I seriously do not know what would have happened had I not had it.

When I returned home, I attempted to call the phone number on the receipt but the recording did not have an option to speak to a real person so I hung up. I then went online to request a report, I am anxious to get it to see what in the world it will say.

My credit rating with the three major companies is between 800 to 830 and has been that way for many years. My checking account has several thousand as well, never have I had an overdrawn check.

From what I am reading in the reviews for Telecheck, it appears that this happens often enough to people in good financial standing that their system is flawed. Reporting to the proper agency will hopefully bring about a change in gathering accurate information. If I had a business, I believe I would think twice before using their service.

Read full complaint
Hide full review
ComplaintsBoard
A
11:09 am UTC
Verified customer This complaint was posted by a verified customer. Learn more

TeleCheck Services TeleCheck declined my personal check even though I had enough money in the account to cover the purchase

I bought groceries at the Giant Food Store 11604 Reisterstown Road Store # 322 Cashier # 6606 Trans 4 Terminal 31 Reisterstown Maryland 21136 9:43 am this morning June 7 2022.I wrote a check and TeleCheck declined my check 4 times. This was very embarrassing because I had plenty of money in my bank account to cover the purchase.

Desired outcome: I would like to know why my personal check was declined!!!

Read full complaint
Hide full review
ComplaintsBoard
S
11:57 am UTC

TeleCheck Services Unresolved issue from Jan 22

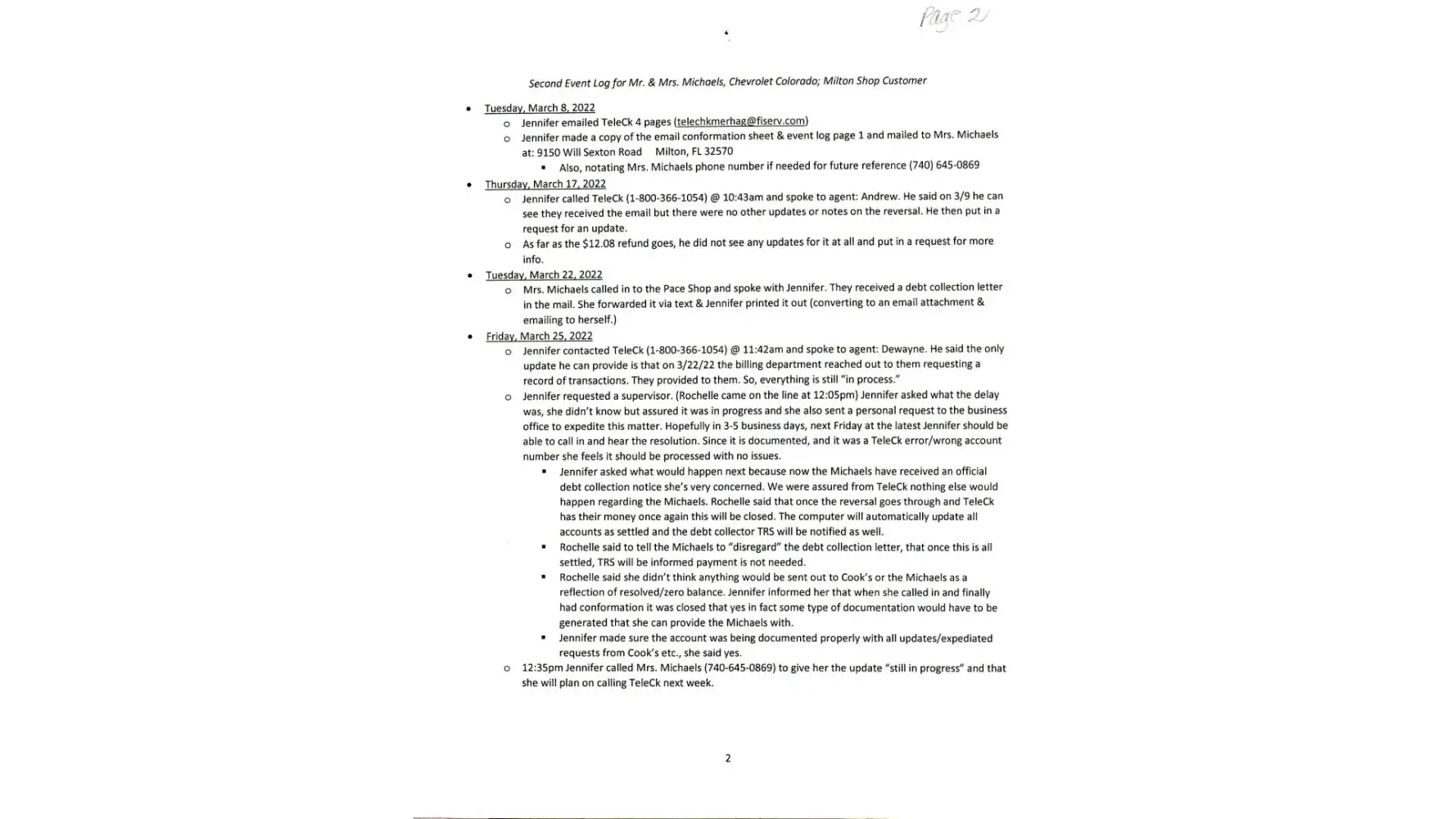
Jan 14, 2022 customer picked up vehicle paid with a check. We ran through our telecheck equip. Jan 18 customer called concerned funds never deducted from account. Mar 7 customer again called funds never ded from acct.---We called telecheck to inquire; funds had been deposited into our account.--Customer came into our office, we called telecheck, spoke with Andrew, he informed us t-ck was using wrong bank acct #. Andrew stated cust. "record" should not be "tainted" as their correct acct was never used. further stated T-ck could not process anything further on this claim. We had been charged 12.80+5.00 for t-ck error, asked for refund. To date refund has not been received.

Customer paid us in cash; t-ck took funds from our bk acct.(settling their payment to us)

Mar 22, customer called to inform they had received a debt collection letter from TRS recovery services; co is owned by same parent co as teleck.

Mar 25, we contacted t-ck Rochelle told us to inform customer to disregard notice from TRS everything was settled. We asked for an email to us and customer stating same. We were told in 3-5 business days we would receive email and customer would also. To date no such email has been received and I have called numerous times and been told the same thing 3-5 buss. days will rec email.

May 10 Nothing.

Desired outcome: I would like in writing to us and customer that matter has been resolved, a refund to us of charges made due to teleck error and the customer to receive in writing teleck and TRS hae made error

Read full complaint
View 0 more photos
Hide full review
ComplaintsBoard
D
1:25 pm UTC

TeleCheck Services check declined

i wrote a check for my groceries and you guys declined me only because my information was not updated in your system... i do not appreciate being declined

when i have banked with the same bank for 30 years.. if you need an update you need to contact me by mail or email...its a poor way to treat customers who has never had a returned check... i will inform the Company that i wrote the check to of how you are operating your line of business..

i am very upset

Darlene Newsome

Read full complaint
Hide full review
ComplaintsBoard
B
11:09 am UTC
Verified customer This complaint was posted by a verified customer. Learn more

TeleCheck Services Re: Problem

My check was refused at Harbor Freight. Your clerk said it was because of a check not paid by bank. Check in question was made by some unauthorized person at one of your stores. I live in N E GA and do not travel. Check in question was, I think, at a store not in GA. I have no idea how my check could have been used, I am NOT missing any checks. My bank agreed that was NOT my check and was not honored. routing [protected] acct [protected]. Telecheck item 6159400 and 6159492. GA drivers license [protected] and mailing address is p o box 1658, Cornelia, ga [protected]

Thank you

Desired outcome: I would like to continue shopping and paying for merchandise at Harbor Freight. I do NOT have this problem at Walmart or any other stores.

Read full complaint
Hide full review
ComplaintsBoard
S
4:50 pm UTC

TeleCheck Services Denial of check

March 2, 2022 3pm

This is the second time my business check was denied. Telecheck reason is I do not have a profile with them and the merchant Rural king. Until i have a profile with them my checks will be denied. They cannot disclose how many checks I have to write and be denied before they will approve my check and create this so called profile. Because I don't write more checks i am denied and he also had the nerve to say something about the sequence of my check? WTH is that his concern? My bank account has more than enough money to cover these checks and he reminded me that wasn't the reason it was denied.

Desired outcome: To be able to write a check every couple of months at Rural King and not have it denied because i don't have a profile

Read full complaint
Hide full review
ComplaintsBoard
T
1:06 pm UTC

TeleCheck Services Check writing decline

I have written several checks over time and continually get denied by Telecheck. I originally spoke to two different agents that advised there were no non sufficient fund checks from me but that I needed to build my credit with them. The agent said to try and write a low amount check which I did and was still denied. The latest time denied was on 8/21/21 at Sam's Club in the amount of $212.18 with a reason code of 02. In trying to resolve this one more time I called the number of 800-697-9255 and only received a VRU that asked all of my personal information such as date check written, amount of check, all of my banking information then gave me a reference number of 36212223600105 yet did not transfer me to a representative. I tehn attempted to fill out their form on the website they provided which was TRS Recovery Services.com. All of the font was editable but then when you attempted to place your telephone number in the field their pre-filled form was not correct. Also when they ask you on the form to fill in a full description of the complaint, the font was so small you couldn't even see what your were typing. I then called another number of 800-366-2425 from another denial slip. It then gives me the same reference number, and says transferring to an agent and then the VRU unit hangs up on me. At this time, I have filed a complaint with the BBB, Office of the Attorney General and will be speaking with an attorney this week. Other checks that have been denied are at Shoe Carnival on 8/14/21 in the amount of 294.18, Cato's on 7/31/21 in the amount of $175.92 then I had severla checks I tried to write at Dick's Sporting Goods this year. When the agent spoke to me while there, she is the one who said to try writing a smaller amount. I did and was declined. What kind of Company is this? I have been a supervisor in Customer Service for many years. This has to be against some law for consumers. It is almost as if this company is trying to govern us as individuals, and acting as a communist company.

Desired outcome: For Telecheck to release this hold on my file so I can write checks since my credit union does not provide debit cards

Read full complaint
Hide full review
ComplaintsBoard
J
6:19 pm UTC

TeleCheck Services Check Processing

I wrote a check to a store that was processed by TeleCheck. TeleCheck did not present it for payment and then put a lock on my account without any notification. The store that the check was written at attempted to clear up the matter and TeleCheck told them to have me contact them. The phone number is a dial around hell and I cannot reach anyone to speak to to clear this up. Meanwhile, I cannot write a check anywhere. I am blocked and cannot even call to complain. I have tons of money in my account and am being treated like a criminal. Ref. 36-[protected]

Desired outcome: Company contacts me to clear this up.

Read full complaint
Hide full review
ComplaintsBoard
J
2:23 pm UTC

TeleCheck Services Declined check code 3

My credit union merged with Gesa CU. When I ordered new checks they started me at a beginning number. Now when I go to use a check at Home Depot I am declined because code 3 says I don't haver enough history. I have been using the same account through several credit union mergers since 1974. I have a Home Depot card I pay with this checking account. I tried contacting Tele-check but was only able to go through AI info and the same with the computer. Tele-check record 3532986

Desired outcome: I want to use my check to pay for purchases at Home Depot

Read full complaint
Hide full review
ComplaintsBoard
J
3:54 pm UTC
Verified customer This complaint was posted by a verified customer. Learn more

TeleCheck Services Telecheck

I Have tried to cash a check at Home Depot and has been declined three times can I have more than enough money in the bank for the item. They don't know why it was declined I check my bank and they said it must be their reader but I have Them put it in manually And it still the declines. I looked online and saw that telecheck is to blame because I do not write checks that often. This is very embarrassing When you know you have plenty of money in the bank. Someone needs to regulate this company and not allow them to do this to people.

Read full complaint
Hide full review
ComplaintsBoard
J
1:52 pm UTC
Verified customer This complaint was posted by a verified customer. Learn more

TeleCheck Services Amount charged back to me

Telecheck #[protected] Larry Morton's Transmission [protected].
On 6/25/2020 I took a check for $3150.00. On 7/27/20 I received a NSF from telecheck on the check. I calle my customer and gave him the option to pay me with in 2 days or I would send it in to be collected by telecheck. I did not hear back from my customer so on 7/29/2020 I sent it in for collection. On 8/26/202o the customer came in and paid in full the $3150.00 to me. I called telecheck spoke with Angle. She said it would be taken care of on there end. And I did not need to do anything else. On 10/2/20 the customer called me saying he was still being told by TRS that he owed that money. So I called Telecheck. They confirmed that an email had been sent to TRS letting them know we had received the funds due. On 11/12/2020 I received my statement showing that telecheck was charging me $1260.00 for TRS recovery fees. I called telecheck. Went over the whole timeline again. They said they would look into it. I told them they had 30 days or I would close my account. On 12/11/2020 I received my statement and it was not credited back to me. I called telecheck to close my account. They transferred me to billing to Shani Davis. She had me pay the amount due since my statement by credit card thru TRS since I was closing my account. She also said she would look into the TRC charging us $1260.00. Then on 2/17/2021 I received another statement saying I owe for January 2021 $240.30. I called Shani Davis in billing. She said she would have to submit for the account to be closed and a credit for January and February. She said to check back with her if I had not heard by 2/26/2021. I called her on 2/26/21 only to get her voice mail. I called again on 3/1/21 only voicemail. I emailed her. On 3/2/21 only voicemail. So I called telecheck customer service. Jerome said that he would submit a closure for the account. And that he would submit for the credit for January and February.
I am very frustrated that telecheck has not taken car of the $1260.00 that I should have never been charged. And that I had then been charged after I had closed my account.
I am requesting a refund for the TRS charge of $1260.00. A refund for the January billing of $249.30 and any other charges since. My account should be closed as of December 12, 2020.
Please take care of this.
Thank you
Janice Morton
Corp. sec.

Desired outcome: Refund of $1260.00 + $ 249.30 + any other charges beyond that point.

Read full complaint
Hide full review
ComplaintsBoard
T
10:10 am UTC
Verified customer This complaint was posted by a verified customer. Learn more

TeleCheck Services Payment not received - unethical business

3/2/2021 - our company check was declined. Having more than sufficient funds. We were shamed with a new vendor that we were purchasing material from for the first time. This is a very embarassing situation that we have been put in.

We called again and asked if we can try again fter providing all the company information and still we were told that we had to wait 2 days until we can rewrite another check.

Absolutely unacceptable and embarassing!

Read full complaint
Hide full review
ComplaintsBoard
S
11:31 am UTC
Verified customer This complaint was posted by a verified customer. Learn more

TeleCheck Services Check services

I wrote a check for $28 at Food Lion in Bennettsville SC on 1/17/21. It kept getting rejected because of Telecheck. I called them this morning and I was told it was rejected because it didn't fit my check writing pattern. I wrote one check at Wal-Mart the same morning. This is a relatively new account and I typically use my debit card and not checks. I wrote the checks because my debit card quit working so it is being replaced which takes about a week. So in the meantime I have checks but don't know if I can use them because of Telechek. What's the point of having a checking account? This is crazy. Guess I'll go to the bank this morning and write a check for cash.

Desired outcome: I would like Telecheck to not reject my checks because using them doesn't fit a pattern. This is a flawed system that inconvenienced me and caused problems at grocery checkout..

Read full complaint
View 0 more photos
Update by screenname2
Jan 18, 2021 11:46 am UTC

Telecheck is a flawed system. I was using checks because my debit card was being replaced because it had quit working properly . I was writing the second check of the day for groceries. It kept getting rejected. The store manager showed me the Telecheck denial code on the receipt and told me to call them. I did and was told the check for $28 in groceries was rejected because it didn't fit my check writing pattern. So I was stuck in line at the store with people behind me and bagged groceries on the counter while insisting to the manager that the check was good. It put me in an embarrassing position that was no fault of my own. I told the manager that I had $20 so they accepted that for $28 in groceries. So in the end I came out ahead but I would rather not repeat the experience.

Hide full review
ComplaintsBoard
D
4:54 pm UTC

TeleCheck Services Phone report

I did not and do not want this service. All the information is in the photos. I would appreciate it if it can be taken care of quickly. I know who is calling I don't need someone to tell me. I do not know how this you decided I needed this type of service. i am starting to think this is a scam. I do not see anything about this type of service under this name. Please remove this service.

Read full complaint
View 0 more photos
Hide full review

TeleCheck Services complaints: history and resolution overview

TeleCheck Services has received 99 complaints on ComplaintsBoard. The first reported case, I am still burned about it!, was published on Jun 18, 2007, and the most recent complaint, Checking, was posted on Mar 12, 2026.

Out of all reported cases, 43 complaints (43%) have been marked as resolved, while 56 complaints (57%) remain unresolved. The most recent resolved complaint, Telecheck caused my check to deny, provides additional insight into how customer issues have been handled.

Customer feedback spans multiple years and reflects a range of user experiences. A majority of complaints remain unresolved, which may be important to consider when evaluating the company.

👉  Submit a complaint about TeleCheck Services
Trust badge
Collect Your Trust Badge
Be recognized for outstanding customer service
TeleCheck Services Category
TeleCheck Services is ranked 32 among 47 companies in the Credit and Debt Services category

Most discussed TeleCheck Services complaints

Checking
1
(opinions to this review)