Menu
Write a review
File a complaint
Plainsite.org / Think Computer Profile

Plainsite.org / Think Computer

Learn how the rating is calculated

1.1

Overall customer rating from reviews and complaints

Plainsite.org / Think Computer earns a 1.1-star rating from 0 reviews and 47 complaints, showing that the majority of users are dissatisfied with legal information and services.

Claim Your Business
Take control of your profile: address complaints and engage with reviews
Write a review File a complaint

Plainsite.org / Think Computer Complaints Page 2 of 3

ComplaintsBoard
E
3:01 pm UTC

Plainsite.org / Think Computer monetized websites such as plainsite.org under fraudulent 501 (c) (3) think computer foundation

monetized websites such as plainsite.org under fraudulent 501(c)(3) Think Computer Foundation.

Aaron Greenspan does not like to do real work for a living. Instead, he enjoys sitting on his duff tapping on his keyboard and gaining access to the public's legal documents so he can make some profit by exposing and shaming people online.

This guy is a real loser!

Read full complaint
Hide full review
ComplaintsBoard
M
9:06 pm UTC

Plainsite.org / Think Computer fraudulent 501 (c) (3) think computer foundation under which a wide variety of for profit website such as plainsite.org are under

Fraudulent 501(c)(3) Think Computer Foundation under which a wide variety of for-profit websites such as plainsite.org are under.
Aaron Greenspan, Neil S Greenspan, Judith Keene Greenspan Think Computer Foundation, Plainsite.org.

These individuals have created a fraudulent 501(c)(3) under which they are operating in a fraudulent manner a wide variety of monetized for-profit websites but are unlawfully placing these monetized websites under this fraudulent 501(c)(3) called Think Computer Foundation.

The mastermind behind this entire 501(c)(3) scam is not Aaron Greenspan as he is not that bright as he likes to portray himself to be. The mastermind behind this entire 501(c)(3) tax fraud operation is the father Neil S Greenspan who is the VP and Treasurer of this concoction and tries to stay under the radar, while at the same time he works as a professor at the Case Western University and tries to act like he's above board just because he has some stupid credentials. We all know that it doesn't matter where a person went to school, or what credentials they may have. This does not make a person above board, ethical or moral. And we surely know that these individuals are not above board and are unethical, immoral and they lie a lot.

Aaron Greenspan aka Aaron Jacob Greenspan is harassing and stalking people by gaining acces to people's legal documents from Pacer and other State Courts and then putting these legal documents on his stalker website plainsite.org that he uses to snoop on people and then shame them whenever he feels like it. Aaron Greenspan is a Sociopath.

Has anyone noticed that when one Google's Aaron Greenspan one cannot see all of his dirty deeds and complaints? That's because Aaron Greenspan is a Hacker and a damn good one to boot, so he knows how to get rid of URL's and uses many Hacking tricks. Now if one looks at Aaron Jacob Greenspan on Google one can see all the dirty deeds and complaints that this dirty guy is up to and how he is harming the public with plainsite.org.

Read full complaint and 1 comment
View 0 more photos
Hide full review
1 comment
Add a comment
A
A
Aeka Hime
Vallejo, US
Send a message
Jun 29, 2021 8:57 pm UTC

Looks like Think Computer Foundation is going into hidden mode. Their website is now blank and PlainSite is removing refrences form this "charity". Per the website: "PlainSite started out as a joint venture of Think Computer Corporation and Think Computer Foundation. Today, it is operated solely by Think Computer Corporation."

ComplaintsBoard
W
9:02 pm UTC

Plainsite.org / Think Computer Accessing the public's legal documents to upload on search engines for personal greed

Accessing the public's legal documents to upload on search engines for personal greed.
Aaron Greenspan is deliberately attempting to interfere with the free and fair operation of the Stock Market and is creating false or misleading appearances with false and exaggerated accusations against Elon Musk and Tesla. This is called intentional Market Manipulation and this is totally illegal to try and manipulate the Stock price of Tesla in any manner. Any manner means attempting to drive down the Tesla stock through libel, slander and any type of false rumors and the criminal charge can be multiple counts of securities fraud, especially when there are co-conspirators.

What Aaron Greenspan is doing is essentially one-sided fake news to drive down the Tesla Stock price. Lies spread faster than the truth on Social Media. These actions by Aaron Greenspan are creating volatility with Tesla Stock prices by using Twitter to spread these false rumors and lies.

Most likely "FINRA" Financial Industry Regulatory Authority and the SEC would be interested in these actions by Aaron Greenspan who is working with investors to short the Tesla Stock.

We have noticed these actions on Twitter by Aaron Greenspan and what he is doing is "Short and distort" which is an illegal tactic used by unscrupulous short sellers wherein they short stock and then spread rumors and innuendo to drive down the Tesla Stock price. This is criminal behavior and is completely illegal.

We are glad to be producing Tesla cars and they are a great product. We don't need this Aaron Greenspan trying to to make money by spreading rumors and lies about Tesla, as he hides somewhere using his laptop or smartphone to do these dirty deeds to Tesla.

Read full complaint
Hide full review
ComplaintsBoard
J
8:30 pm UTC

Plainsite.org / Think Computer stalking the public's legal documents to make money with plainsite.org

Check out another case that Aaron Greenspan has lost and we need to let you know that Aaron Greenspan has lost all of his court cases where he has sued to try and get some free cash. This guy is quite sick in the head. He just does not know how leave people alone and move on with his crappy life.

Aaron Greenspan did not invent facebook and will not do anything successfully because he is a stalker who is not all there.

Read full complaint
View 0 more photos
Hide full review
ComplaintsBoard
H
6:36 pm UTC

Plainsite.org / Think Computer data mining the public's legal documentation and lots of personal information then used to stalk their victims

Data mining the public's legal documentation and lots of personal information that is intentionally then used by the individuals who run Plainsite.org to harass and stalk their victims.

Aaron Greenspan pretends that his data mining website plainsite.org is there to help the public in finding legal documents on people and company's. Problem with this is that this is all smoke and mirrors. First of all we already have the Federal Database Pacer that is located in San Antonio, Texas and Pacer does not mess with the public's legal documents by throwing these legal documents on the search engines to destroy a person's career and reputations like Aaron Greenspan is doing with the people's legal documents just so he can make a comfy living at the public's expense of course.

We just found out that Aaron Greenspan has lots of cases on the Federal Database Pacer and anyone can simply go to Pacer and open and account and the first $15 are free per month and anyone can look up people's legal documents without having them thrown on the search engines by Aaron Greenspan. Aaron Greenspan has lots of cases on Pacer and has sued so many people and company and has lost every single case.

This guy is a serious stalker and a hater.

Read full complaint and 1 comment
View 0 more photos
Hide full review
1 comment
Add a comment
V
V
Victims of Aaron Jacob Greenspan
AU
Send a message
Feb 28, 2026 5:33 am UTC

Aaron Greenspan uses people's legal documents and personal information to then blackmail and extort money out of people

ComplaintsBoard
C
5:41 pm UTC
Featured review
This review was chosen algorithmically as the most valued customer feedback.

Aaron Greenspan has lost every single court case. The public just needs to go to Pacer and open an account. The first $15 are free. Then look up Aaron Greenspan, Aaron Jacob Greenspan, Think Computer Corporation and Think Computer Foundation. Aaron Greenspan claims he invented Think Computer Corporation but it was invented by his father Neil S Greenspan who...

View 0 more photos
Read full complaint and 61 comments
ComplaintsBoard
H
8:50 pm UTC

Plainsite.org / Think Computer data mining the public's legal documents and other personal information for profit, harass, stalk and damage people's careers and reputations

Aaron Greenspan born on 3/31/1983 runs Think Computer Foundation a fraudulent 501(c)(3) created by his father Neil S Greenspan who is the VP and Treasurer and his mother Judith Keene Greenspan is co-owner of this criminal enterprise.

The parents of Neil S Greenspan and Judith Keene Greenspan arrived in the USA from Turkey via Syria in the mid 1930's. They established themselves in Masachusetts and did the same thing in the US that they did in Turkey to live off of the public without working.
The parents of Judith Keene Greenspan created Keene Promotions located in Auburndale, Massachusetts which is part of Newton, Massachusetts. Keene Promotions purchases things like pens and cups in large quantities at pennies on the dollar from vendors in China and other cheap manufacturers, then they place logos and advertising names on these products and their profit margin for is in the thousands for one of their products that they manufacturer for pennies.

In 1998 while Aaron Greenspan was in Shaker Heights and not well liked by his peers, his father Neil S Greenspan established a for profit company called Think Computer Corporation and in the year 2000 Neil S Greenspan made up Think Computer Foundation where he established himself as the VP and Treasurer, while Aaron Greenspan was put at the helm as don't laugh the CEO. His mother Judith keene Greenspan is part owner of this contraption. Apparently Judith Keene Greenspan has even placed Keene Promotions under the fraudulent 501(c)(3) Think Computer Foundation as well as other entities that are in actuality for profit.

Aaron Greenspan owns and runs plainsite.org, which was also placed under the fraudulent 501(c)(3) Think Computer Foundation. This individual data mines the public's legal documents, personal information and gains access both legally and illegally to the public's personal information to then at his whim use against his victims that he targets or complain about. I other words Aaron Greenspan uses this personal information as his dirt to attack and go after his victims.

Aaron Greenspan has lost every single case in court and that includes when he sued Mark Zuckerberg, Google, Columbia Pictures, Random House and many more. Aaron Greenspan always seeks free money from any source and that's why he sues people because he thinks people will tire out and just hand him a check.

Nobody should donate one penny to Think Computer Foundation, plainsite.org or anything associated with this social menace. Do not follow him on social media and do not click on anything belonging to Aaron Greenspan as he will then access your information at his whim.

Aaron Greenspan is professional at harassing and stalking people. His favorite pastime is to shame people after he collects all the personal data he can.

Read full complaint
View 0 more photos
Hide full review
ComplaintsBoard
T
5:51 am UTC

Plainsite.org / Think Computer illegal use of the public's personal legal and other personal information

Aaron Greenspan, Neil S Greenspan and Judith Keene Greenspan are illegally gaining access to the public's personal legal documents and private information that in turn they use to extort money from and defame the public.

These individuals are completely unethical and what these individuals are doing have nothing to do with our First Amendment. What they are doing to the public is criminal and should be treated as such.

Neil S Greenspan created Think Computer Corporation in 1998 and then converted this contraption to a non-profit called Think Computer Foundation in 2000 to illegally avoid paying taxes.

Aaron Greenspan did not invent any of this, his father who is the VP and Treasurer created this for him so he would have some sort of income.

This individual did not create facebook and had nothing to do with facebook.

He has lost every court case when the other party shows up and tells their side to the Judge:
Columbia Pictures he lost
Random House he lost
Google he lost

When the other party's show up and fight back he loses.

This individual likes to file lawsuits and talk to the Judge to tell his lies when the other party is not present. When the truth comes out this guy loses. He's a Sociopath.

Read full complaint
View 0 more photos
Hide full review
ComplaintsBoard
F
4:12 pm UTC

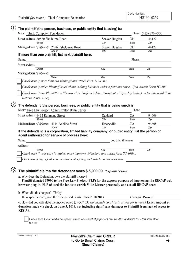
Plainsite.org / Think Computer plainsite.org

Aaron Greenspan is now taking the Free Law Project to court for $5, 000 at the California Superior Court in Alameda because now he wants his $5, 000 donation back from Mike Lissner and Brian Carver who run the Free Law Project because they have his number and are tired of the harassment and jealous hating on them.

Aaron Greenspan cannot extract anything else out of the Free Law Project so now after he has downloaded millions of legal dockets on the public, he now wants his donation back.

The public should ask for all of their donations back from Think Computer Foundation. Wonder what the reaction would be?

The Free Law Project is a legitimate non-profit 501(c)(3) and runs things in a responsible and ethical manner. On the other hand plainsite.org is not a legitimate 501(c)(3) and is run in a irresponsible and unethical manner by an individual who is insane.

Read full complaint
View 0 more photos
Hide full review
ComplaintsBoard
P
8:13 pm UTC

Plainsite.org / Think Computer think computer foundation fraud/plainsite.org

Aaron Jacob Greenspan is the owner of the website www.plainsite.org. He posts personal and private information on his website. He refuses to take down the information. I am a victim of domestic violence and my personal information is NOT suppose to be online per court orders. Aaron Greenspan refuses to remove my information from his website. He disrespects the law.

I begged him to remove it because I don't want my ex to find me. He refused to remove it. My ex found me and children in our home were harmed and I was beat up to a bloody pulp after he found me on Aaron's website www.plainsite.org.

Aaron Greenspan doesn't care about hurting children. He posts the locations of children whose mothers are hiding from abusive relationships.

He refuses to remove the information. He profits from watching people suffer and get beat up to a bloody pulp.

He runs his website out of a rented apartment all by himself. He's a lonely man. He hates people, so he uses his website to hurt them by posting their personal and private lives.

Read full complaint and 1 comment
Hide full review
1 comment
Add a comment
E
E
Eric Steven Teasley Cyber Stalker
Miami, US
Send a message
Mar 12, 2022 9:26 am UTC

Aaron Greenspan runs this data mining monetized website with his partner of many years Eric S Teasley aka Eric Steven Teasley who focus on getting legal documents on people and companies, then use these documents to make money with their monetized website plainsite.org, which is also used to go after their many victims and anyone who exposes their cyberstalking, doxxing and harassment crimes, which are many.

View 0 more photos
ComplaintsBoard
L
8:43 pm UTC
Verified customer This complaint was posted by a verified customer. Learn more

Plainsite.org / Think Computer relentless cyber harassment on this site after being told to stop

A typical person would get it the first time after being told that he/she isn't whom you think it is. Being told countless times and not understanding it makes your mental illness apparent.

[name removed], I wish that you would stop pestering and harassing me on this site where I don't have any involvement whatsoever with this Greenspan guy you keep spamming in the comments of my posts. Also, I had your obscene comments removed by reporting to this site's moderator about it. You're the one with issues by continuously bothering me and not letting me have any peace. This has gone too far! LEAVE ME ALONE!

To prove that I'm not this Aaron Greenspan guy, I have attached a screenshot of the message that I'd received from Greenspan himself on this site. He messaged me after I responded to his comment thinking that he's Scott Breitenstein. I only know about you because Greenspan messaged me about you continuously harassing him online even though you're still served with a restraining order.

Read full complaint
View 0 more photos
Hide full review
ComplaintsBoard
G
5:45 pm UTC
Verified customer This complaint was posted by a verified customer. Learn more

Plainsite.org / Think Computer plainsite.org leagle.com think computer corporation think computer foundation

Add Rebuttal to this Report

File New Report

← Is this
scam report
About you?

scam report
A business' first
line of defense
on the Internet.

If your business is
willing to make a
commitment to
customer satisfaction
Click here now..

Aaron Jacob Greenspan aka Aaron Greenspan is the founder of Think Computer Foundation, which manages Plain Site (plainsite.org). Aaaron's website states that he has registered Plain Site, a purported public access function to court websites, as a 501(c)(3) charity in line with IRS regulations.

The basis for the website came from Aaron's own interest and experience with technology and the law. Aaaron claimed that the purpose of Think Computer Foundation was to help children through technology. Yet, later this became a personal piggy bank for him to fund his numerous lawsuits. In the past, he has claimed he was defamed because he was left out of book and movie deals due to defamation by omission. Each of his lawsuits were dismissed and he was hit with a motion for sanctions at each step.

The case is:

Greenspan v. Random House, et al., Case No. 1:11-CV-12000-RBC (District of Massachusetts) (Greenspan's lawsuit is dismissed and appeal is denied and supreme court review was denied)

Far from helping children, which is nothing more than a cover, Think Computer Foundation and Plain Site have morphed into a personal piggy bank for Aaron Greenspan to fund his own speech. In sum and substance, Think Computer Foundation, Plain Site, and Aaron Greenspan are alter egos of each other. They do not exist separately. They do not have an independent board. They do not have separate auditors, attorneys etc. Instead, Aaaron uses these companies and foundations to raise fraudulent donations from donors, of which I am one, and to efficiently evade taxes.

Aaron has also active sued the US Court System, on behalf of Think Computer Foundation, attempting to act pro se. However, his suit was struck out because under long standing precedent, a corporation cannot be represented by an unlicensed attorney. Aaron is not a licensed attorney. He is also a college drop out. In sum and substance, he over promises and under delivers and what you are left with is feeling cheated and feeling like you have funded a conspiracy theorist. It is truly unfortunate because here is a guy with so much promise if he could just be honest.

The case is:

Aaron Greenspan, Think Computer Foundation v. Administrative Office of the US Courts, Case No. 5:2014-CV-2396 JTM

(Case Dismissed, Appeal Denied)

The Fraud and IRS Problem with Plain Site and Think Computer Foundation:

Aaron has collectved donations from his friends and colleagues, myself included in the amount of $100, 000, and to date we have not seen a single dime used in the manner described to us when he requested the donation. When I personally asked for my donation back, he pointed that he controls Think Computer Foundation and can personally use the money as he sees fit. I am in the process of filing suit for fraud and conversion in state court and was wondering if anyone else has had this problem with either Aaaron Greenspan or any of his alter egos.

But let me back up a bit. What was described to us as a part of Think Computer Foundation and later Plain Site? Think Computer Foundation was purportedly to help needy kids through technology. But needy kids don't really need access to court records do they? No, they dont. So Think Computer Foundation later became synonymous with Plain Site, which is an alternative to the publicly funded PACER court system access to documents. So, instead of helping needy children, Aaron now has a personal site masquerading as a court access website and Aaron, and only Aaron, gets to pick what or which documents are uploaded and available on Plainsite.

We were under the impression that this was a reputable guy, that he was also independently wealthy and, thus, our donations would go to a good cause: public access to a court system. Unfortunately, it is hard to tell, which one, if any, of Aaron's claims are true. Each time his company has a problem, he attempts to act ike a lawyer or change the rules so that they don't apply to him. Worse, the Plain Site website has become nothing more than a trolling adventure for Aaron. Every time there is a new news story that details someone's misfortune, he uploads their docket on to the website and publicly shames them both online and through his tweets. While public dissemination of information is certainly a goal worthy of support -- and that is why I and others have contributed to his foundation in the past. However, using the foundation, plain site and related twitter accounts as a trolling feature to publicly shame and defame individuals is not what his donors signed up for. It is also completely against the rules of a purported IRS 501(c)(3) foundation. Tax free entities are not meant to be used as personal media outlets for trolling purposes.

Aaron has committed a fraud by taking money, services and equipment from his donors to perpetuate a continuing personal website masquerading as a charity.

The Fraud Problem with Aaron Greenspan and Coinbase, Inc.

Now, what comes next? Aaron applies for a license to issue digital currency in Florida. Website is here:

archive.org/details/coinbasefloridamtl

It gets even more interesting:

Aaron was charged in connection with a criminal complaint for False Claims Violations and Fraud in United States v. Yurygrenadyor, Case No. 09-CV-7891, although the charges were dismissed.

None of this information has ever been disclosed to his donors and perhaps his investors. He is a conman with a slick sales pitch. He wants to help people help others, especially the needy, through technology. But its all lies. He is an abrasive, ill-tempered man with poor business judgment and completely lacking in ethics.

When I met Aaron I thought he was out to change the world. He was idenpendently wealthy. He wanted others to help him through his foundation change the world through technology. But he will talk to you until your check clears. The moment it does, all promises are off. What are you are actually funding is Aaron Greenspan and no one else. And his foundation is nothing more than a sham and he is likely to lose his 501(c)(3) certification. I have sent in an email to the IRS through their reporting service. I have filed suit in state court to get return of my money and I am wondering if Aaron has hit other people up for donations to his foundation? Did he disclose how many times he has been sued or sued himself? Did he disclose to you his selection process of what gets included and what does in Plain Site and how he sets up pages to defame people? Is anyone else owed money? Did you guys know that you are funding Aaron Greenspan's endless series of frivolous lawsuits? His defamation campaigns? His advertisements? Please report it here.

Aaron Greenspan is a full blown CRIMINAL HACKER. Law Enforcement needs to finally take some action and arrest Aaron Greenspan and convict him and send him to prison where this Sociopath belongs.

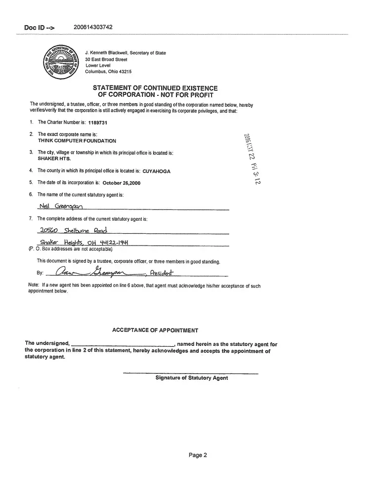
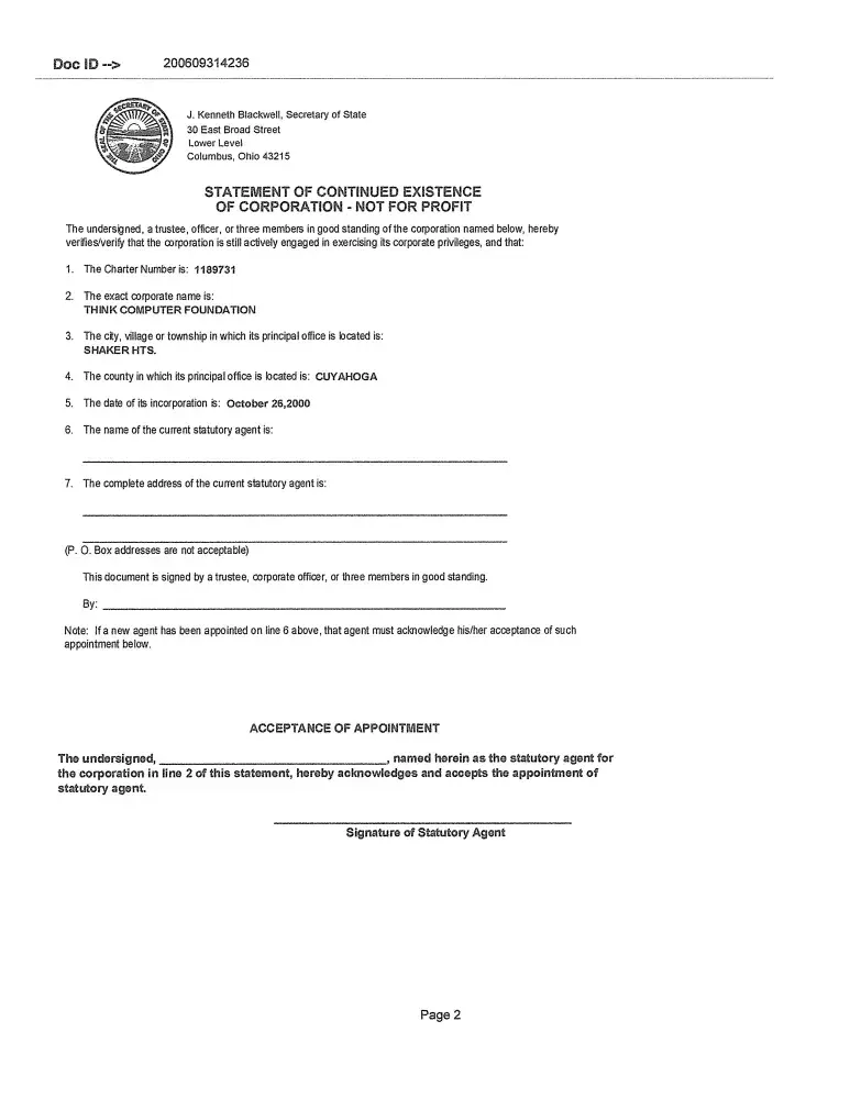
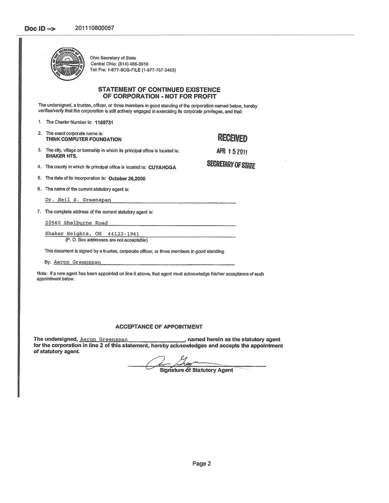
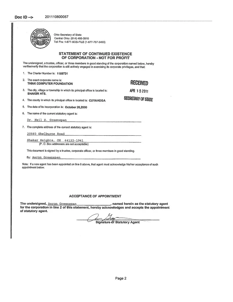
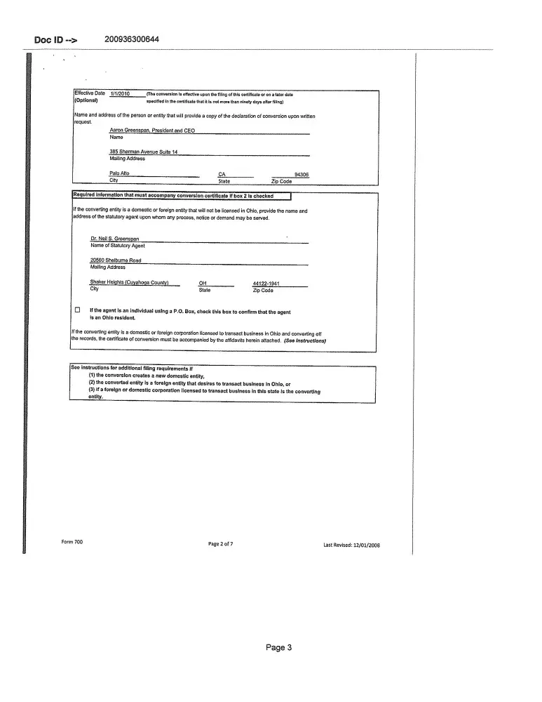
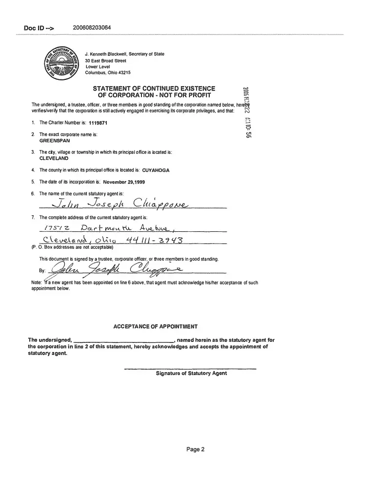
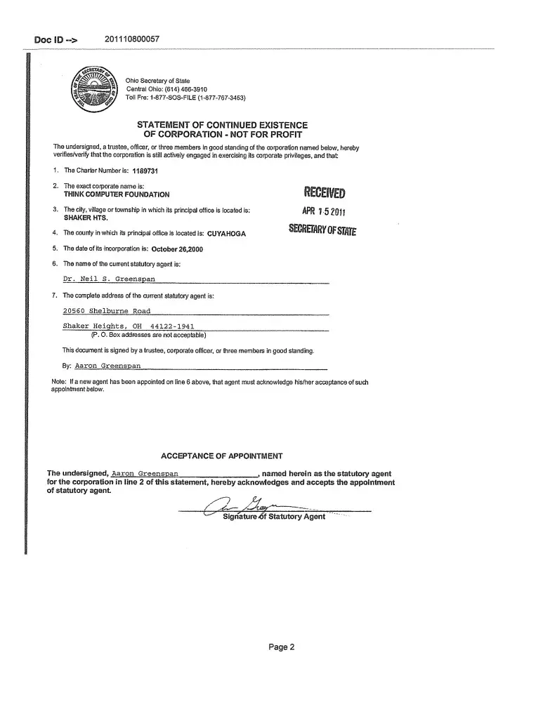
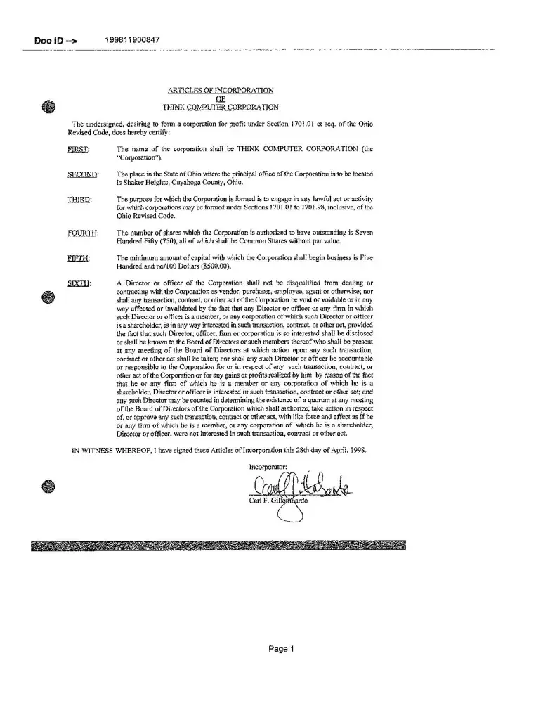
We have uploaded all 60 pages of the 501(c)(3) scam that was started in 1998 by the father of Aaron Greenspan, Dr. Neil S Greenspan and his mother Judith Keene Greenspan out of Shaker Heights, Ohio. These 60 pages of business documents are "Public Domain" documents, so they are perfectly fine being here and do not let anyone harass or intimidate this website to remove these public domain documents because its perfectly legal. Aaron Greenspan is a Serial Harasser and Stalker.

Everyone take a look at all 60 pages of this This Tax Evasion and Tax Fraud Scam called Think Computer Corporation and Think Computer Foundation under which these individuals have many monetized websites such as plainsite.org, leagle.com and just too many sites to list here and many of these sites have been created by Aaron Greenspan using Godaddy as his Hosting Company where he is hiding his identity and contact information from the public and WHOIS ICANN.

Aaron Greenspan is a full blown Criminal Hacker who belongs in Prison doing hard time for all the crimes he is committing on a daily basis.

Read full complaint
Hide full review
ComplaintsBoard
B
10:31 am UTC
Verified customer This complaint was posted by a verified customer. Learn more

Plainsite.org / Think Computer Pacer law dockets

I also was a fool and paid Aaron Greenspan $4500 to remove my name from plainsite.org. Aaron Jacob Greenspan threatened me if I spoke out. Seriously he is autistic.

WWW.plainsite.org is an extortion machine! Aaron Greenspan, Dr. Neil S Greenspan (case western reserve university) and Judith Keene Greenspan will not remove any names until you pay $4500.There is no reasoning with these rich white people. They make sure that your name is among the top 5 when googled. People checking on you or your company will see this and automatically be prejudiced against you. This is an unfair business practice. Plainsite.org is run out of
20560 Shelburne Road
44122 Shaker Heights
Ohio
And
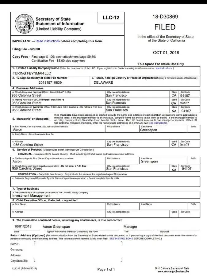
956 Carolina Street
San Francisco CA 94107
And
340 S. Lemon Avenue #6720
Walnut CA 91789.
Aaron Greenspan is always trying to hide. Beware dealing with crazy Aaron Greenspan.

Read full complaint and 2 comments
Hide full review
2 comments
Add a comment
boxnmove
boxnmove
IN
Send a message
Jan 29, 2022 6:07 am UTC
Verified customer This complaint was posted by a verified customer. Learn more

is your review are relevant or not . packers and movers in gurgaon

J
J
Jgoring
Yonkers, US
Send a message
Jan 29, 2022 1:53 am UTC

Scott Breitenstein is involved with these scam artists also. Scott is also from Dayton OH.

ComplaintsBoard
T
8:20 am UTC

Plainsite.org / Think Computer aaron greenspan

Every one please read this. I spoke to law enforcement.
If at least 20 of us go and file reports on Arron Greenspan on these sites below (the fbi and California attorney general) then you can get your report taken down and have this guy investigated.
Also please email The President of the University where Neil Greenspan works, her name is Barbara. Tell Barbara that your employee Neil Greenspan and his sons are frauds. HER EMAIL IS barbara.[protected]@case.edu

Please email the FBI and attorney general below

https://www.ic3.gov/complaint/default.aspx

https://oag.ca.gov/contact/consumer-complaint-against-business-or-company

Read full complaint and 2 comments
Hide full review
2 comments
Add a comment
ComplaintsBoard
A
9:14 pm UTC

Plainsite.org / Think Computer data mining, making money off of the public's "dirty laundry" legal documents.

Low Lives Aaron Jacob Greenspan, Neil S Greenspan & Judith Keene Greenspan owners of 501c(3) Tax Fraud Think Computer Foundation. Ripping off American Honest Hard Working Tax Payers, while these people live it up without doing any work at all. They just data mine the public's information to make an easy profit.

Aaron Jacob Greenspan just cannot leave people alone and just continuously has to harass and stalk people online.

Aaron Jacob Greenspan owns the following monetized websites:
leagle.com This vicious site was started up by Neil S Greenspan around 1997 or 1998
plainsite.org
resource.org
opencorporates.com
freecourtcase.com

Aaron Jacob Greenspan has owned the following website since 2012 called Birdeye.com/
Birdeye.com is a reputation management company. In other words Aaron Jacob Greenspan first goes around hurting people's reputations by uploading people's legal documents in a selective manner, then with this company Birdeye.com he of course wants to get paid good Money to remove the very same URL's that he is uploading online. This is called Extortion, Blackmail, Harassment and Stalking.

Aaron Greenspan tries to extort $4, 500 from people to remove each URL. This individual believes that he is "ABOVE THE LAW" and can just do whatever he feels like it to whoever he feels like it, as he is a Sociopath.

Read full complaint and 1 comment
View 0 more photos
Hide full review
1 comment
Add a comment
E
E
Eric Steven Teasley Cyber Stalker
Miami, US
Send a message
Mar 12, 2022 9:16 am UTC

Eric Steven Teasley aka MD Eric S Teasley aka Eric Teasley is directly involved with the cyberstalking, doxxing and harassment with Aaron Jacob Greenspan aka Aaron Greenspan who are partners for many years and dedicate themselves to data mining the public's legal documents and personal information with their monetized website plainsite.org that Eric S Teasley helped in creating in 2011 and plainsite.org funded the studies for Eric S Teasley and has paid all the bills for Eric S Teasley and Aaron J Greenspan, who also use their Twitter account @plainsite to go on the attack and do lots of doxxing, cyber stalking and harassment towards the many people that these cyber criminals target.

Stanford University should investigate how in the world did Eric Steven Teasley a cyber crimimal working closely with Aaron Jacob Greenspan get admitted to their prestigious University.

Check out page two where Aaron Greenspan gives thanks to his husband Eric Steven Teasley for creating this disgusting data mining, doxxing, cyber stalking monetized website plainsite.org.

Today Eric S Teasley aka MD Eric Steven Teasley somehow got employed at Google and Google is unaware of all the bad and evil things that MD Eric Steven Teasley is up to, when it comes to destroying the careers and livelihoods of thousands of people with plainsite.org, just so Eric Teasley and Aaron Greenspan can live a comfy life using plainsite.org and getting their bills paid with plainsite.org, while they destroy the reputations of people and companies.

Eric Steven Teasley got another free ride

https://ronbrown.org/tag/class-of-2003/

Eric S Teasley did not make anything new

https://www.medrxiv.org/content/10.1101/2021.03.08.21252408v1

Aaron J Greenspan sued Google at the Alameda, California Small Claims Court and lost. Google should take a close look at this Eric Steven Teasley that that they are allowing to access highly sensitive personal data. This will get in the hands of his partner Aaron J Greenspan and will further destroy lives by data mining the public's information, while working at Google.

View 0 more photos
ComplaintsBoard
C
12:38 pm UTC

Plainsite.org / Think Computer aaron greenspan, neil greenspan, judi greenspan, plainsite.org, think computer, irs fraud

Aaron Jacob Greenspan aka Aaron Greenspan is the founder of Think Computer Foundation, which manages Plain Site (plainsite.org). Aaaron's website states that he has registered Plain Site, a purported public access function to court websites, as a 501(c)(3) charity in line with IRS regulations.

The basis for the website came from Aaron's own interest and experience with technology and the law. Aaaron claimed that the purpose of Think Computer Foundation was to help children through technology. Yet, later this became a personal piggy bank for him to fund his numerous lawsuits. In the past, he has claimed he was defamed because he was left out of book and movie deals due to defamation by omission. Each of his lawsuits were dismissed and he was hit with a motion for sanctions at each step.

The case is:

Greenspan v. Random House, et al., Case No. 1:11-CV-12000-RBC (District of Massachusetts) (Greenspan's lawsuit is dismissed and appeal is denied and supreme court review was denied)

Far from helping children, which is nothing more than a cover, Think Computer Foundation and Plain Site have morphed into a personal piggy bank for Aaron Greenspan to fund his own speech. In sum and substance, Think Computer Foundation, Plain Site, and Aaron Greenspan are alter egos of each other. They do not exist separately. They do not have an independent board. They do not have separate auditors, attorneys etc. Instead, Aaaron uses these companies and foundations to raise fraudulent donations from donors, of which I am one, and to efficiently evade taxes.

Aaron has also active sued the US Court System, on behalf of Think Computer Foundation, attempting to act pro se. However, his suit was struck out because under long standing precedent, a corporation cannot be represented by an unlicensed attorney. Aaron is not a licensed attorney. He is also a college drop out. In sum and substance, he over promises and under delivers and what you are left with is feeling cheated and feeling like you have funded a conspiracy theorist. It is truly unfortunate because here is a guy with so much promise if he could just be honest.

The case is:

Aaron Greenspan, Think Computer Foundation v. Administrative Office of the US Courts, Case No. 5:2014-CV-2396 JTM

(Case Dismissed, Appeal Denied)

The Fraud and IRS Problem with Plain Site and Think Computer Foundation:

Aaron has collectved donations from his friends and colleagues, myself included in the amount of $100, 000, and to date we have not seen a single dime used in the manner described to us when he requested the donation. When I personally asked for my donation back, he pointed that he controls Think Computer Foundation and can personally use the money as he sees fit. I am in the process of filing suit for fraud and conversion in state court and was wondering if anyone else has had this problem with either Aaaron Greenspan or any of his alter egos.

But let me back up a bit. What was described to us as a part of Think Computer Foundation and later Plain Site? Think Computer Foundation was purportedly to help needy kids through technology. But needy kids don't really need access to court records do they? No, they dont. So Think Computer Foundation later became synonymous with Plain Site, which is an alternative to the publicly funded PACER court system access to documents. So, instead of helping needy children, Aaron now has a personal site masquerading as a court access website and Aaron, and only Aaron, gets to pick what or which documents are uploaded and available on Plainsite.

We were under the impression that this was a reputable guy, that he was also independently wealthy and, thus, our donations would go to a good cause: public access to a court system. Unfortunately, it is hard to tell, which one, if any, of Aaron's claims are true. Each time his company has a problem, he attempts to act ike a lawyer or change the rules so that they don't apply to him. Worse, the Plain Site website has become nothing more than a trolling adventure for Aaron. Every time there is a new news story that details someone's misfortune, he uploads their docket on to the website and publicly shames them both online and through his tweets. While public dissemination of information is certainly a goal worthy of support -- and that is why I and others have contributed to his foundation in the past. However, using the foundation, plain site and related twitter accounts as a trolling feature to publicly shame and defame individuals is not what his donors signed up for. It is also completely against the rules of a purported IRS 501(c)(3) foundation. Tax free entities are not meant to be used as personal media outlets for trolling purposes.

Aaron has committed a fraud by taking money, services and equipment from his donors to perpetuate a continuing personal website masquerading as a charity.

The Fraud Problem with Aaron Greenspan and Coinbase, Inc.

Now, what comes next? Aaron applies for a license to issue digital currency in Florida. Website is here:

archive.org/details/coinbasefloridamtl

It gets even more interesting:

Aaron was charged in connection with a criminal complaint for False Claims Violations and Fraud in United States v. Yurygrenadyor, Case No. 09-CV-7891

None of this information has ever been disclosed to his donors and perhaps his investors. He is a conman with a slick sales pitch. He wants to help people help others, especially the needy, through technology. But its all lies. He is an abrasive, ill-tempered man with poor business judgment and completely lacking in ethics.

When I met Aaron I thought he was out to change the world. He was idenpendently wealthy. He wanted others to help him through his foundation change the world through technology. But he will talk to you until your check clears. The moment it does, all promises are off. What are you are actually funding is Aaron Greenspan and no one else. And his foundation is nothing more than a sham and he is likely to lose his 501(c)(3) certification. I have sent in an email to the IRS through their reporting service. I have filed suit in state court to get return of my money and I am wondering if Aaron has hit other people up for donations to his foundation? Did he disclose how many times he has been sued or sued himself? Did he disclose to you his selection process of what gets included and what does in Plain Site and how he sets up pages to defame people? Is anyone else owed money? Did you guys know that you are funding Aaron Greenspan's endless series of frivolous lawsuits? His defamation campaigns? His advertisements? Please report it here.

Contact info for Aaron Jacob Greenspan:

Aaron Greenspan
500 Race Street
Apartment 4321
San Jose, CA 95126
[protected]

Neil Greenspan and Judi Greenspan
20560 shelburne
Shaker heights, oh 44122

[protected] (home phone 1)
[protected] (home phone 2)

Neil sanford greenspan: [protected]
Co-owner of plainsite.org with aaron greenspan
neil.[protected]@case.edu

Cell: [protected]
Office: [protected]

Read full complaint and 2 comments
View 0 more photos
Hide full review
2 comments
Add a comment
ComplaintsBoard
O
8:54 pm UTC

Plainsite.org / Think Computer Uploading people's personal legal documents in a selective manner for the sole purpose of these owners of leagle.com and plainsite.org to make money

Aaron jacob greenspan, neil s greenspan & judith keene greenspan owners of 501c (3) tax fraud think computer corporation

Aaron jacob greenspan just cannot leave people alone and just continuously has to harass and stalk people online.

Aaron jacob greenspan owns the following monetized websites:
Leagle.com this vicious site was started up by neil s greenspan around 1997 or 1998
Plainsite.org
Resource.org
Opencorporates.com
Freecourtcase.com

Aaron jacob greenspan has owned the following website since 2012 called birdeye.com/
Birdeye.com is a reputation management company.in other words aaron jacob greenspan first goes around hurting people's reputations by uploading people's legal documents in a selective manner, then with this company birdeye.com he of course wants to get paid good money to remove the very same url's that he is uploading online. this is called extortion.

This is becoming common for people to upload people's information online to hurt people's reputations then either they themselves or another reputations management company will remove the url's and then give the owner of the website who uploaded them online money kickbacks. these monetized websites and reputation management companies are all in cahoots with each other and they all communicate and know each other. although, they will pretend that they are a stand alone company but the fact is this entire thing about uploading people's information online to harm people's reputations then remove it for money is very well organized and is criminal in nature. at this point there is little to no retaliation on these criminals extorting money out of people to remove url's but the more the public complains the faster the laws will change for the better when it comes to these bums making money off of people's information and then more money by removing the information they placed online.

Aaron jacob greenspan is copying and pasting copyright materials, altering the url headers and doing all kinds of things that hackers do, in order to continuously harass and stalk anyone who outs him to law enforcement agencies, including interpol.

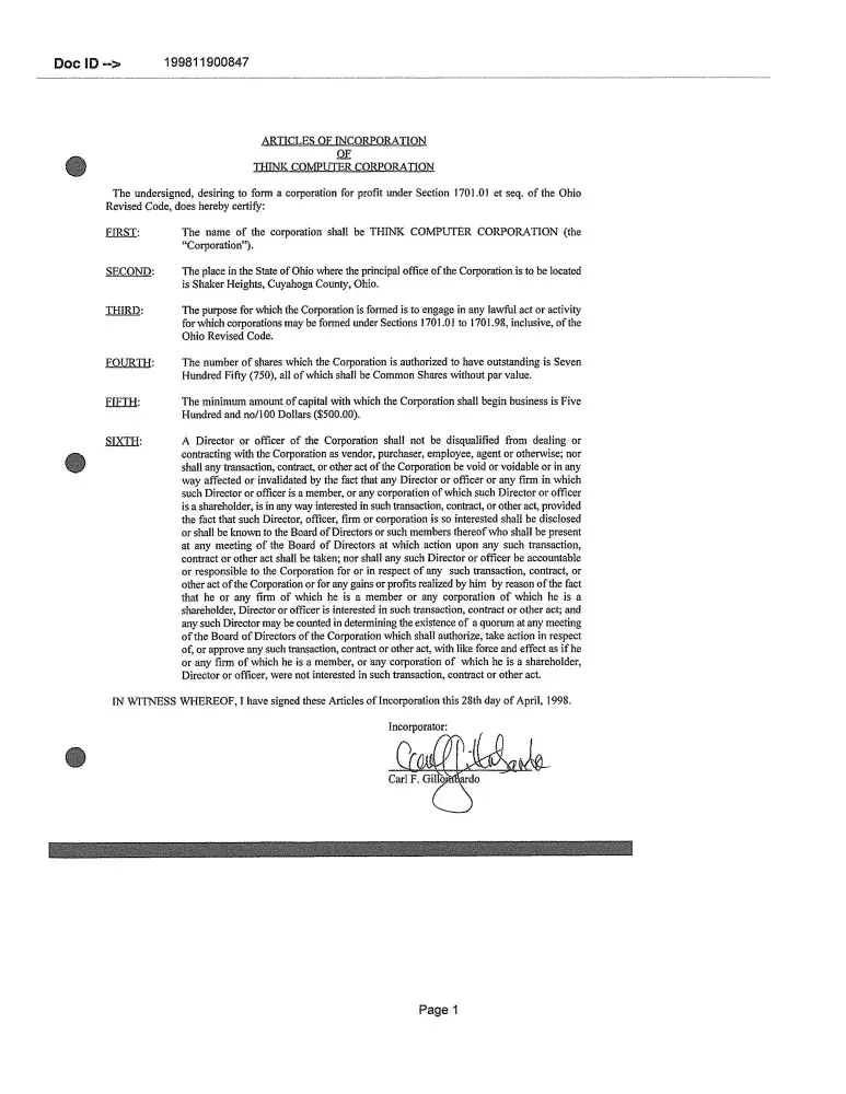
Aaron jacob greenspan's father initiated this entire 501c (3) tax fraud that first started out in 1998 out of cleveland, ohio under the name think computer corporation which initially was a "for profit"

In 2000 dr. neil s greenspan who is a professor at the case western reserve university in cleveland, ohio came up with a great scam. dr. neil s greenspan transferred this entire operation to the state of delaware so that he could pass this tax fraud on to his son aaron jacob greenspan, while he gives the outside world that he is some sort of goody two shoe professor, when in fact dr. neil s greenspan is the mastermind behind this entire irs 501c (3) tax fraud scam under the guise of "helping the children" but the fact of the matter is this entire tax fraud scam was designed by dr. neil s greenspan, in order to provide for himself and his family only a source of an easy income. dr. neil s greenspan is the vice president and treasurer for this entire tax fraud operation, so even though dr. neil s greenspan tries to make the public believe that he is some squeaky clean professor who works at the case western reserve university but the complete opposite is true. dr. neil s greenspan is a devious, conniving, scammer who has masterminded this entire irs 501c (3) tax fraud operation from day one.

The public can go to the following website in delaware called "division of corporations" where there are about 6 pages on think computer corporation. the cost is $10 for the first page and $2 for each additional page. dr. neil s greenspan used a third party to set up his 501c (3) tax fraud scheme in the state of delaware.

State of delaware - division of corporations
Https://corp.delaware.gov/
Delaware division of corporations - home page... search for a business entity... more than one million business entities take advantage of delaware's...
‎contact · ‎about · ‎newsroom · ‎faq

Delaware business search - delaware.gov
Https://dorweb.revenue.delaware.gov/bussrch/
The old business license search will be available here through the end of june 2017. the old system... send technical questions to [protected]@state. de. us.

The following is information found at the delaware business search website in delaware on this greenspan family from shaker heights, ohio:

File number entity name
4771939 think computer corporation
2055871 think! computers, inc.

The following companies may also belong to this greenspan family and are also filed in the state of delaware:

E number entity name
3611082 greenspan acquisition corp.
4093076 greenspan associates llc
6068119 greenspan for judge, llc
5614534 greenspan telecom inc

File number entity name
3620682 birdeye investments llc
5118996 birdeye, inc.

File number entity name
4789785 in plain site, llc

The documents for this entire 501c (3) tax fraud was initiated in the state of ohio in 1998 first as a "for profit", then converted to a "non-profit" under the guise to "help the children", which was all a scam and made up so these individuals can help themselves to some easy access of money with their various monetized websites under the umbrella of their fraudulent 501c (3) think computer corporation and think computer foundation.

The business information in cleveland, ohio for think computer corporation and think computer foundation can found at the following website:

Businesses - ohio secretary of state
Https://www.sos.state.oh.us/businesses
File for a business online, search existing ohio businesses and learn more from the ohio secretary of state's business services division.
Business search
Business name : business name - exact : detailed business search : number search …
Online business resources
Online business resources - ohio secretary of state
Business services
Contact the ohio secretary of state's business service division with your …
Uniform commercial code
Uniform commercial code - ohio secretary of state
Business reports
Certificates of good standing | business reports - ohio...
Service of process
Business entities. our business search system contains information on business …

Entity
Number business name type original
Filing date expiry
Date status business location county state
1000499 business name corporation for profit 04/29/1998 - dead shaker hts cuyahoga -
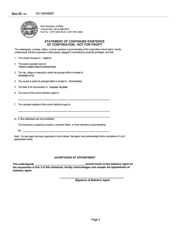
1189731 business name corporation for non-profit 10/26/2000 05/12/2021 active shaker hts. cuyahoga -
1 - 2
Download business search results | print
Total number of filings found : 2

Entity
Number business name type original
Filing date expiry
Date status business location county state
1189731 business name corporation for non-profit 10/26/2000 05/12/2021 active shaker hts. cuyahoga -

Corporation details
Entity number rn148514
Business name thinklink
Filing type registered trade name
Status cancelled
Original filing date 08/22/1991
Expiry date
Location: county: conversion state:
Filings
Filing type date of filing document number/image
Trade name/original filing 08/22/1991 h192_1359
Letter/renewal notice mailed 05/06/1996 [protected]
Cancelled by operation of law 09/06/1996 [protected]

On this last one you can see that dr. neil s greenspan has been at this for a long time, as it states the year 1991 for thinklink, which is dr. neil s greenspan's concoction. dr. neil s greenspan then just transferred this entire tax fraud scam over to his son aaron jacob greenspan so he would have some sort of income for himself and the rest of his family at the expense of the public's reputations being ruined of course. that is why dr. neil s greenspan has been laying low and not showing himself as having anything to do with any of these tax fraud scams but this individuals is the mastermind behind this entire tax fraud scam.

The following businesses in ohio appear to have something to do with dr. neil s greenspan and his relatives.

Entity
Number business name type original
Filing date expiry
Date status business location county state
4003812 business name elisheva greenspan photography, llc domestic limited liability company 04/01/2017 - active - - -
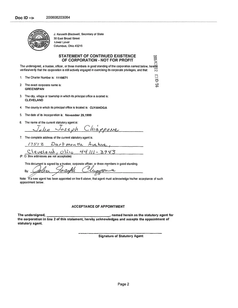
1119871 business name greenspan corporation for non-profit 11/29/1999 06/24/2021 active cleveland cuyahoga -
945754 business name greenspan family investments, l.p. limited partnership 06/14/1996 - dead - - ohio
510007 business name greenspan jewelers, inc. for profit 01/09/1978 - cancelled cleveland cuyahoga ohio
2049107 business name greenspan technologies, llc domestic limited liability company 09/19/2011 - active - - -
2421069 business name lauren greenspan yoga llc domestic limited liability company 08/18/2015 - active - - -
1 - 6

Read full complaint
View 0 more photos
Hide full review
ComplaintsBoard
A
5:11 am UTC
Verified customer This complaint was posted by a verified customer. Learn more

Plainsite.org / Think Computer aaron greenspan, judith greenspan, neil greenspan, plainsite.org, complaint

These are the owners of the Privacy invasion website plainsite.org

Aaron Greenspan AKA Aaron Jacob Greenspan
Neil Greenspan AKA Neil Sanford Greenspan
Judith Greenspan AKA Judith Keene Greenspan

[protected] (PHONE 1)
[protected] (PHONE 2)

20560 Shelburne
Shaker Heights, OH 44122

AARON GREENSPAN: [protected]

Neil Sanford Greenspan: [protected]

Read full complaint and 2 comments
View 0 more photos
Hide full review
2 comments
Add a comment
ComplaintsBoard
B
12:25 am UTC
Verified customer This complaint was posted by a verified customer. Learn more

Plainsite.org / Think Computer hacker and online harassment and stalking

Aaron Greenspan a/k/a Aaron Jacob Greenspan owner of vicious monetized plainsite.org

Aaron Greenspan, his father Neil S Greenspan and his mother Judith Keene Greenspan all together have concocted this 501c tax evasion and tax fraud operation in which they hide their monetized websites such as leagle.com and plainsite.org under and this scam is called Think Computer Corporation and Think Computer Foundation and also Thinklink, Greenspan Technologies and many more front 501c tax fraud companies now based out of Delaware, so they can hide their identities and don
t have to disclose their monetized websites and don't have to turn in yearly earning reports.

There is no difference between street criminal and these individuals who have set up.an elaborate tax evasion and tax fraud and they are laundering money by using off shore banks, so they don't have to report their income to the IRS.

Neil S Greenspan is employed at Case Western University, where he makes every attempt to uphold his credibility.

Aaron Greenspan tries to make the public believe with his narrative that he is some sort of credible software programmer but in reality this is all a big scam, as he has never invented anything, he just steals the ideas from other people and twists and turns other people's ideas in to his own. This individual is a dangerous sociopath and since his parents are responsible for creating this 501c tac evasion and tax fraud scheme they are complete sociopath's who have enabled their sicko son Aaron Jacob Greenspan.

Read full complaint and 2 comments
View 0 more photos
Hide full review
2 comments
Add a comment
ComplaintsBoard
K
2:33 pm UTC
Verified customer This complaint was posted by a verified customer. Learn more

Plainsite.org / Think Computer Private and unauthorized information is being published on his website

Private and unauthorized information is being published on http://plainsite.org website. This website should be immediately removed. It is causing and effects people who don't want their information to be published online and searched over google and picked up by other search engines. There should be permission to do that. I don't want my name to appear in google, never gave permission. It's unsafe, unethical and ruining people's private lives.

Read full complaint
Hide full review
Trust badge
Collect Your Trust Badge
Be recognized for outstanding customer service
  1. Plainsite.org / Think Computer Contacts

  2. Plainsite.org / Think Computer phone numbers
    Click up if you have successfully reached Plainsite.org / Think Computer by calling +1 (415) 670-9350 phone number 0 0 users reported that they have successfully reached Plainsite.org / Think Computer by calling +1 (415) 670-9350 phone number Click down if you have unsuccessfully reached Plainsite.org / Think Computer by calling +1 (415) 670-9350 phone number 0 0 users reported that they have UNsuccessfully reached Plainsite.org / Think Computer by calling +1 (415) 670-9350 phone number
  3. Plainsite.org / Think Computer emails
  4. Plainsite.org / Think Computer address
    500 Race Street, Apartment 4321, San Jose, California, 95126-5159, United States
  5. Plainsite.org / Think Computer social media
  6. Olivia
    Checked and verified by Olivia This contact information is personally checked and verified by the ComplaintsBoard representative. Learn more
    May 09, 2026
Plainsite.org / Think Computer Category
Plainsite.org / Think Computer is ranked 155 among 204 companies in the Computer Hardware category