Menu
Write a review
File a complaint
MetLife Profile

MetLife

global.metlife.com

Learn how the rating is calculated

2.2

Overall reputation rating based on reviews and complaints

MetLife has an overall reputation rating of 2.2/5 based on 0 reviews and 212 complaints, indicating that the majority of policyholders are somewhat dissatisfied with insurance coverage.

Claim Your Business
Take control of your profile: address complaints and engage with reviews
Write a review File a complaint

MetLife Complaints Page 4 of 11

ComplaintsBoard
H
11:55 am UTC
Verified customer This complaint was posted by a verified customer. Learn more

MetLife Policy

MetLife is trying to lapse my Life Insurance Policy in effect for 35 years and do not provide accurate information on reinstatement. Appears to be fraud.

Please confirm the outcomes and payments for reinstate action:Life Insurance Policy# 8026755
1) I need to pay $9100.28 by 09/22/2020 for reinstate my policy with approximate death benefit of $196, 331 net, after deducting Loan Balance of $122, 630.34
2) My Annual premium is $1742.60 payable by May 22, 2021, along with Loan Interest fees
and these payments are continued until my age of 95 years.
3) If I do not reinstate the policy by September 20, 2020, extended term insurance with death benefit of $67, 774 until August 21, 2021 and after this date death benefit is $ 0.00.
4)Loan Payment amount discount for one time payment by 10/01/2020
a) I would appreciate, if you can provide me a table detailing Annual Premiums, Annual Loan Interest charges, Loan Balance and the death benefit until my age of 95 years( 2020 to 2032).
b) Also, please mail me a copy of my insurance policy, as I lost it.
When I tried to get the answers from customer service. I get conflicting answers and I need answers asap to meet the dead line for reinstatement of my policy..
Thanks
Hanumantharao Palanki
[protected]
[protected]@yahoo.com

Read full complaint
Update by Hanumantha Palanki
Sep 15, 2020 12:00 pm UTC

The deadline for reinstatement of my life Insurance policy is 9/22/2020. I need correct information from MetLife to take action.

Hide full review
ComplaintsBoard
C
2:24 pm UTC
Verified customer This complaint was posted by a verified customer. Learn more

MetLife death benefit

My mother died last April 2019. She left two modest policies for my sister and I. We sent in the claims and death certificates early May. By November they were telling me they needed death certificates. I sent more certificates. Now my sister and I are running out of death certificates - we've sent 4 total. Today I got another notice they're missing the claim forms for the policies. The previous time I spoke to them they had the claim forms and needed death certificates. Now they want new claim forms filled out and mailed. Why are they giving us the runaround? I have no idea. These aren't $1 million dollar double indemnity claims. They're a couple thousand dollars. I advise everyone never to get a policy from MetLife, and if you have one, cash it out NOW!

Read full complaint
Hide full review
ComplaintsBoard
C
1:32 pm UTC
Verified customer This complaint was posted by a verified customer. Learn more

MetLife not being paid

During the whole month i was off did they ever call or tell me the problems they had with my claim. They make everything seem like its going fine yet i only got one check and im still waiting on one and its going to be another week before i get it. I would definitely have a back up if your off work cause of injuries cause they wont do it. It shouldnt take a month to get a check when i was off for the same problem the whole time. They dont care!

Read full complaint
Hide full review
ComplaintsBoard
D
10:44 pm UTC

MetLife disability pay

I fell on August 31 and broke 3 ribs. I was not allowed to work for 6 weeks. I mailed all pertinent medical papers on or about
9-12-19. They were never received. I was denied disability pay due to the 20 day deadline. I also never received the papers in return mail. I was told they would accept my papers late. I faxed everything on 9- 25-19. I called on 10-2-19. I was told 2 papers were missing. I was given an e-mail address. Today after calling again I was told they were never received. The e-mail was incorrect. I have not been able to pay my October rent. This is so unprofessional on the part of met life. My claim number is [protected]. Please fix this

Read full complaint
Hide full review
ComplaintsBoard
D
7:16 pm UTC

MetLife disability insurance claim denials

Hi. I became disabled back in Dec 2012. Fell down some stairs and hurt back. Unable to work afterward. I had disability coverage thru my last employer. They declined my claim, I then contested it and it was declined again. However, I also had my own personal disability insurance policy thru MassMutual. I submitted my paperwork to them the same time I did with Metlife. MassMutual approved me within 30 days. I also was approved thru Soc Sec Disability in record time (12 days complete approval). After some time passed, I sent a complaint letter to the president of MetLife. They looked at my claim again and decline it again. I contested it and they declined again. I've heard many horror stories from friends and family friends in the past about Metlife. Terrible company. I should have received those funds and they would be an asset to me since I'm living on fixed income.

Read full complaint
Hide full review
ComplaintsBoard
R
5:50 pm UTC

MetLife life policy death claim

000837217M1 my Mother Grace L. Watts had an existing life policy. Her death was in December 2013. My sister and I have done the paperwork to proceed with benefits. MetLife has the documents since April 2019. I have made several phone attempts to complete this process. Advised July of this year was their time constraints. No check. Following up with the claims Dept involves being on hold for a minimum of 45 minutes each call. I've conversed with numerous supervisors recently. Each one has advised they have turned it over to be expedited. Still no check. Today's conversation was the same from a supervisor-not yet completed.

Read full complaint
Hide full review
ComplaintsBoard
C
5:39 pm UTC

MetLife insurance claim

I submitted an insurance claim after the death of my sister, Francena Willingham over three months ago. The claim hasn't been paid and I have contacted Med Life on numerous occasions without any success. I have been told by service the claim would be paid very soon, the claim has been escalated to the next division, claims are paid within 60 days, and on and on. I don't understand why they are dragging their feet to pay this claim. All of the necessary documentation has been submitted and I'm the legal beneficiary. Will it take my filing a Breach of Contract suit against Med Life to get them to act? I'm not going away!

Read full complaint and 2 comments
Hide full review
2 comments
Add a comment
S
S
swhbh
Kissimmee, US
Send a message
Aug 06, 2019 11:21 am UTC

Exact same scenario only it's been going on since March. I've even reported to the Better Business Bureau and they haven't responded to them. I just get the run around over and over again when I call.

S
S
swhbh
Kissimmee, US
Send a message
Aug 06, 2019 11:20 am UTC

Same situation and going on since March. Exact same scenario

ComplaintsBoard
V
2:07 pm UTC
Verified customer This complaint was posted by a verified customer. Learn more

MetLife metlife long term disability

My name is vincent scott turner I have been 100% disabled due to blindness. I am now on social security. If you are reading this to form an opinion about purchasing metlife please do yourself and your family a favor don't do it! This company takes great pride in trying to uncover any excuess not to pay you! If you are found to be disabled by a privite doctor or in my case a privite doctor and the va these lovely people make it a point to harras you yearly! They even in my case sent a privite investigator to my home in it's efforts to not pay my claim! This company deserves a 0 raiting and should be investigated by the united states consumer protection agency. Take my advice do not put yourself through this. Being disabled is hard enough without having to put up with this type of harassment from a company you trusted to help you should the unthimksble happen. They suck! I signed this and my number is listed at the bottom should the ceo of metlife like to reach out to me.

Respectfully,

Vincent scott turner
[protected]

Read full complaint
Hide full review
ComplaintsBoard
M
5:33 pm UTC
Verified customer This complaint was posted by a verified customer. Learn more

MetLife mis-sale of life insurance

Dear Sir/Madam

Policy holder's name: Youssef Serry Mohamed Youssef Serry
Life Insurance Policy Number: [protected] (MetLife Egypt)
Policy holder's address: 13 Ahmed Nour El Deen St., Cairo, Egypt.

I would like to escalate a complaint on behalf of my father (The policy holder) who is a vulnerable 74 years old. I have attached a letter of authority for your consideration (Please note that the original LOA has been provided to MetLife Egypt).

I am escalating this complaint as the final response of MetLife Egypt stated that they haven't breached the policy agreement and they have totally ignored the mis-sale as they don't even understand what a mis-sale mean. They have also told me over the phone that they don't deal with Bullying, Harassment or Abuse and it was totally ignored in their final response too. If you see their final response you will laugh because it is really a joke. Unfortunately their response was issued in Arabic language otherwise I would have attached it. Their final response was issued on July 10, 2019 stating that my father needs to pay L.E 14, 000 by the same day (July 10, 2019), they haven't even stopped the clock while they were investing the complaint which shows that they have no idea about handling complaints.

Original complaint points:

Breaching the policy agreement.

Bullying and Harassment.

Abusing a vulnerable 74 years old man and taking advantage of his age by continuously over charging him.

Then the above complaint points were amended during MetLife Egypt phone call while investigating the complaint, to the following:

Mis-sale as the policy documents didn't disclose enough information regarding the cost of insurance at point of sale.

Bullying and Harassment.

Abusing a vulnerable 74 years old man and taking advantage of his age by continuously over charging him.

Complaint Summary:

The staff of MetLife Egypt have been bulling and harassing my father by calling him several times since the beginning of June 2019 asking him to pay L.E 14, 000 without providing any genuine reason what this charge is for and they told him that he has to visit his local branch to sort it.

On 23/06/2019, my father accompanied with my brother went to the Egyptian Head Office where they met someone who is called "Islam" and is supposed to be one of the managers there. Islam told my father that he has to pay L.E 14, 000 before July 10, 2019 otherwise his policy will be automatically terminated and in this case he will lose all what he has paid for the last 15 years. This is very terrifying for a vulnerable 74 years old man as he has been paying premiums in this policy since August 2004. The amount of the total premiums that he paid until now is L.E 88, 837.79 and the cover benefit is L.E 100, 000.

When my father asked "Islam" what is the L.E 14, 000 for, Islam told him that this is the annual premium and that it has to be paid annually. However when we raised this complaint to MetLife Egypt, they said that this L.E 14, 000 is to cover the cost of insurance and it is not the annual premium. We asked them how much is the annual cost of insurance and they said that it varies every year and that it was approximately L.E 12, 000 for the last year. We told them that the policy agreement states that the annual premiums should be L.E 9, 188.64 (L.E 2, 297.16 quarterly as per policy documents) so they said that the premiums are different from the cost of insurance. They said that at the end of each year they provide my dad with an annual statement which shows how much was the cost of insurance for the previous year (my dad says that he never got these statements however this is not the problem). We asked them if the policy documents at point of sale provided any information about how much the cost of insurance or how it is calculated or does it mention that there is annual increase however they said that policy agreement provided these details for the first 7 years of the policy's term (from 2004 to 2011 only) but not for the whole term, they said that this information wasn't provided for the period between 2011 and 2030 which is the policy's maturity date. MetLife Egypt said that they haven't breached the agreement as the agreement didn't provide these details for the period between 2011 and 2030. This is even worse than breaching the agreement as the policy documents failed to disclose very important information regarding the insurance cost which is considered to be a mis-sale as my father wasn't provided with enough information to enable him to decide whether this policy will be suitable for him or not, whether it will be affordable or not and whether it is a good value for money or not.

MetLife Egypt kept increasing the cost of insurance year after year since 2011 without any contractual agreement, without any rule for calculating this increase and without my father's knowledge.

This an unlawful increase in the cost of insurance has reached 52.4% increase at the beginning of this year compared to the first year.

MetLife Egypt is abusing my vulnerable 74 years old father and taking advantage of his age by applying these increases in the cost of insurance year after year without making him aware of what they are doing.

Could you please investigate all the above mess?

My father is totally exhausted from dealing with MetLife Egypt and regretting the day he did business with them. Therefore in the light of all the above, my father is requesting a full refund of all premium payments plus a fair average annual interest rate (within the Egyptian markets) of 10% on top.

Finally, can you also please deal with the distress, inconvenience and trouble caused by MetLife Egypt.

Should you require any further information or documents, then please contact me either by email: [protected]@hotmail.com or call me on my mobile number: +[protected].

Yours faithfully

Mohamed Serry Mohamed (policy holder's son)

On behalf of Youssef Serry Mohamed

Read full complaint
View 0 more photos
Hide full review
ComplaintsBoard
J
10:56 pm UTC
Verified customer This complaint was posted by a verified customer. Learn more

MetLife metlife disability

MetLife has been running me around denying my claim saying it is due to lake if information from my doctor. My doctor has submitted paperwork multiple times, but they keep denying the paperwork. I had to file an appeal, which they decided to deny as well after giving my doctor 10 days to respond. He was on a month vacation. They seem to think someone should go to work with homicidal and suicidal thoughts. They think that person is good for making leadership and managerial decisions. I have depression and anxiety, that are disabling. They are causing me to have IBS, Virtigo, and nerve problems. This company is what is wrong with this country. I will forever drag there name through the mud, until MetLife Burns to the ground.

Read full complaint and 1 comment
Hide full review
1 comment
Add a comment
N
N
Nkechinyere
Middletown, US
Send a message
Aug 25, 2020 1:56 pm UTC

Oh my God, I am going through the same crap with them. DId you ever get paid? This company is horrible.

ComplaintsBoard
G
11:19 pm UTC

MetLife straight life annuity pension plan monthly payment

This company was recently sued in a class action lawsuit Edward Roycroft vs Metlife, Inc. because they did not take great care in finding people who were due pensions from them. Instead after two letters or so if the person did not contact them, they converted the funds to themselves and they are still doing this. The suit was dismissed. However per an article: "MetLife will pay a $19.75 million settlement following an investigation by the New York State Department of Financial Services connected to the insurer's revelation that it had not paid about 13, 500 participants in its group annuity population over the past 25 years due to insufficient administrative practices." Now I am helping a disabled man try to get his pension from them. They gave him only 90 days which isn't sufficient time to make such a important life decision in how you are going to receive your annuity. The form was sent in after the 90 days but here is the kicker, the amount now they are offering for a monthly pension is now less then half the original amount they offered to begin with. How does that happen with a straight life annuity? Really? Did they just convert more then half his pension to their pockets? This man is disabled and can barely afford rent and food and they are taking more then half his pension away from him in a matter of just three months! How does a big company like that expect to get away with outright theft? HOW?

Read full complaint and 1 comment
Hide full review
1 comment
Add a comment
C
C
Chmcfarland
Livingston, US
Send a message
Oct 03, 2023 8:30 pm UTC

I've been fighting to get my annuity refunded since June 2022. I'm well within the Free Look provision but they keep saying my contract doesn't include this provision. It's US Senate approved, congress law and State Mandated. This company is getting away with fraud and theft. Our rights as consumers are not acknowledged by MetLife and it's a disgrace.

ComplaintsBoard
P
3:09 pm UTC

MetLife dental insurance

I am on a group policy through my employer. My plan covers 4 cleanings a year. It is a PPO that I pay for in addition to my employer's contribution. The wording in the policy says "4 per 12 consecutive months". Apparently, this means that they can go back to a previous year to verify coverage, not the calendar year for which you are paying. In essence, even though I will have only 4 cleanings per calendar year, I will pay for one because of the word "consecutive". Obviously, the dental office does not understand this wording or they would not have scheduled me for a cleaning when they did. Now, I am responsible for a payment for which I thought was covered.

Read full complaint
Hide full review
ComplaintsBoard
E
1:06 pm UTC

MetLife disability insurance

I worked for Ibm for 10 years and had a MetLife policy that made me feel secure that if I ever became disabled I would have a monthly income to assist in my living expenses. I have since learned that it is a common practice for Metlife to review your file and deny the first submission because they have further questions and on the second submission which is your final and last time you are allowed to fight for your claim which you deserve they only allow your doctor 10 days to respond and on the 11th day they denied my claim and told me if I still wanted to dispute I would have to take them to civil court. All of my doctors stated this is a common practice with Metlife. My advice to anyone that is unfortunate enough to have a policy with them would be to obtain an attorney at the beginning, trust me you'll be far better off if you do.

Read full complaint
Hide full review
ComplaintsBoard
L
7:22 pm UTC

MetLife metlife homeowner insurance claim number jdi26529o9

To whom it may concern:
Hello, I'm writing to let you know that on or about 4/17/2019, I called and spoke to Matt Zeis, senior claims manager, in regards to hail damage on my roof that occurred on July 6, 2018. I had a roofer, Gary Solano, with RestorSurance roofing service, who is Haag roof certified do, an inspection on my roof on 4/8/2019, and found that my roof had sustained hail damage. On 4/25/2019 an insurance adjuster came to the house and did an inspection and a few days later I got a call from Matt Zeis to inform me that my claim is denied and that the inspection revealed no hail damage, only wear and tear and mechanical damages to the shingles and window screens. Another inspection was scheduled according to Matt Zeis, since he verifies that I've been a long time customer, since Dec 2003 with no inquiries or claims until recently, I also have my car insurance with your company since 2003. So another inspection was done by Hancock Claim consultant that Metlife has hired and also a few days later, I was informed of the same results as the first inspection with no hail damage and claiming that it was just normal wear and tear. I ask to speak to a manager and spoke to John Landsehulz, claims manager, and he said he reviewed my claim and that there's nothing else he can do. I don't understand how a roofer that is Haag certified can say that I have obvious roof damage caused by hail and that documentation was emailed to Matt Zeis along with pictures and upon inspection, both adjuster can come up with the same conclusion about the condition of my roof and just say that it's normal wear and tear. At the end of the day, I still need a new roof and I don't have the funds to replace it. I would appreciate it if you can kindly review my claim again and please reconsider.

Thank you so much for your time and attention in this matter.

Sincerely,
Lorinna Andrada
2339 Monaco Cove Cir
Orlando FL 32825
[protected]@gmail.com

Read full complaint
Hide full review
ComplaintsBoard
D
6:27 am UTC

MetLife horrible death claims administrative experience

Over a year after my father's death MetLife/Brighthouse is still requesting the completion of form after form and not paying out the contractual benefits. None of the policy/ claims numbers are used consistently which complicates matters to no end. It is a clear case of unscrupulous business tactics to delay payouts. During the grieving process, it is the last thing the family should have to deal with. And it is certainly not how the companies describe the claims process when they sell a policy.

Even the lawyers involved can't understand the process and forms. The lawyers have had to make multiple calls some of which they have spent over an hour on the phone trying to have issues clarified. (In any other circumstance, I would question the lawyer's representations, but we are receiving the forms directly and attempting to complete the forms initially. We have also had numerous lengthy calls to the company.)

Read full complaint
Hide full review
ComplaintsBoard
N
10:55 am UTC

MetLife payment not received

My wife had two life insurance policies with MetLife, [protected] and 603205054MS. Both were paid up years ago. I submitted for both in early January 2019. The [protected] was paid in early February. After waiting a week, I contacted your customer service number for status and was told it was in process. I followed up again and was told the check was cut on 5 Feb. So, I waited and then followed up again. I have been directed to several different phone numbers and people with no results. I feel I have been getting the run around and you have lost it. I would like to get paid for #603205054MS.

Read full complaint
Hide full review
ComplaintsBoard
D
5:29 pm UTC

MetLife life insurance policy

My great grandmother purchased a life insurance policy on my father at his birth (3/21/1936). He unfortunately passed away in Sept 2018. When I called MetLife regarding the policy, I was told it was indeed an ‘active policy'!
They informed me that due to the unusual age of said policy, it would have to be manually calculated. However, I then received a HORRIBLY INSENSITIVE letter from them saying there was zero money owed us because the payments ceased in 1978(?). At this point, I'm more upset about the manner in which they wrote the cruel and insensitive letter! I had tried to intercept it so my mother wouldn't see the callus manner in which they referred to my father (her husband), but of course they sent her the same cruel letter! She was sobbing at their insensitivity...there was no ‘sorry for your loss' or condolences as two other insurance companies had expressed - just cruelty. I don't believe there's no money and I'm furious with their tacky communication methods! My husband and I have large policies with MetLife and we're canceling them and going with a better company. Shame on you MetLife!

Read full complaint
Hide full review
ComplaintsBoard
A
4:27 pm UTC

MetLife long term disability

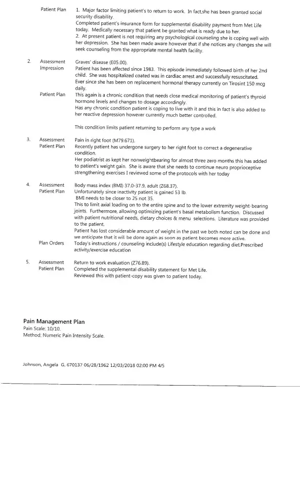
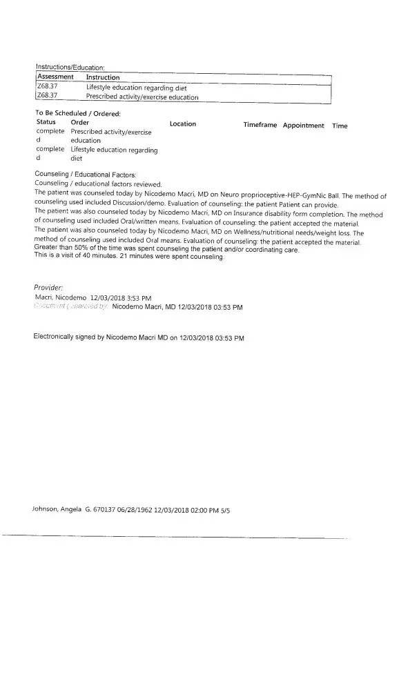
Angela Penn Johnson
Attachments
Claim Number [protected]

I have endured a lie after lie by your employees and supervisors. Now you people are lying on my doctors. I hope they sue the hell of demonic [censored] liars. I am bipolar, severely depressed and I have numerous other ailments and dogged people put me in the worst financial situation by taking my funds at my lowest. You miserable thieves stopped my funds while I was in a while chair. Thank god social security did not stop to your low standards. I want the world to know what you filthy vile lying venomous thieves did to me.

Read full complaint
View 0 more photos
Update by Angela Penn
Dec 24, 2018 4:28 pm UTC

Metlife is claiming they called Dr. Macri and he told them I could work. That is a BLATANT LIE and I hope he SUES the HELLL out them.!

Hide full review
ComplaintsBoard
S
6:01 pm UTC

MetLife auto insurance / billing / misquote

In October 2018 I was quoted a premium of $95.38 every two weeks by payroll deduction, I work for World Travel Holdings we have several group polices through Met Life. My policy started October 10, 2018 and the payroll deduction also. On November 9, 2018 I received a payroll deduction of $131.80 with out notice. I called and was told my marital status changed from married to single, I have never been married a day in my life. I canceled my previous insurance with penalty to go with Met Life because of the faith my employer has in you and I have Dental Insurance through your company also have for 8 years. Met life refuses to knowledge fault or honor my quoted and contractual agreement of $ 95.38 per pay period. I was told " we can't take that kind of loss of over $800.00 for a year. I am supposed to as a consumer take the loss and now have to find new insurance and pay a down payment to a new carrier and pay a this premium also? I can not afford this in such a short amount of time let alone we are at the Holiday Season. I have to choose insurance over my Grandkids gifts? When I did nothing wrong. I want a resolution to this. I have filed a BBB complaint and will continue to file with every outlet available to me until someone within Met Life hears my voice and understands I did nothing wrong I am being penalized for someones else's misdoing.

Read full complaint
Hide full review
ComplaintsBoard
A
6:46 pm UTC

MetLife adjuster liar

I have a problem with Metlife insurance because their people hit me and did not replace my car. They denied my claim because they said not enough prove. Please help me how pull out this problem. I told them all my pictures took that he hit me but he already liar that i got changing lane. In fact i already drive my lane 10 minutes if i changed lane my car never stay in between lane like pictures. I took pictures that he still sat down in the car. Please help me to abuse this case! Claim number SLK05785 happen 10-02-2018. My email [protected]@yahoo.com.

Read full complaint
View 0 more photos
Hide full review
Trust badge
Collect Your Trust Badge
Be recognized for outstanding customer service