Menu
Write a review
File a complaint
Belk Profile

Belk

www.belk.com

Learn how the rating is calculated

1.6

Overall reputation rating based on reviews and complaints

Belk has an overall reputation rating of 1.6/5 based on 2 reviews and 368 complaints, indicating that the majority of shoppers are dissatisfied with their purchases.

Claim Your Business
Take control of your profile: address complaints and engage with reviews
Write a review File a complaint

Belk Complaints Page 3 of 19

ComplaintsBoard
W
7:25 pm UTC
Verified customer This complaint was posted by a verified customer. Learn more

Belk Customer service rep

Trouble getting return label. It doesn't print in A shipping appropriate way. I made order. got email saying my a count was shut down.4hours on phone NO Help. Bought at. macys. Small issue considering next rep. She told m r go down to staples and have the print I told her I had health issue. Can't run anywhere. I needed a lable I could print or the correct address to. pay and mail it myself shoking. She told me she :dint care what was wrong with me. " it's my fault and I must fix it. Clearly she doesn't have the compassion or education to deal with customers with a physical issue that makes it impossible to follow her orders. IN MA we don't treat people that need help with anger crulity and ig. norenc. It's shorificbehavior. I've sent 5 emails to cs with no reply from you. Perhaps it's acceptable at belkd

Desired outcome: Too shocked to snswer phone [protected]

Read full complaint
Hide full review
ComplaintsBoard
M
12:37 pm UTC
Verified customer This complaint was posted by a verified customer. Learn more

Belk Management (Bridget)

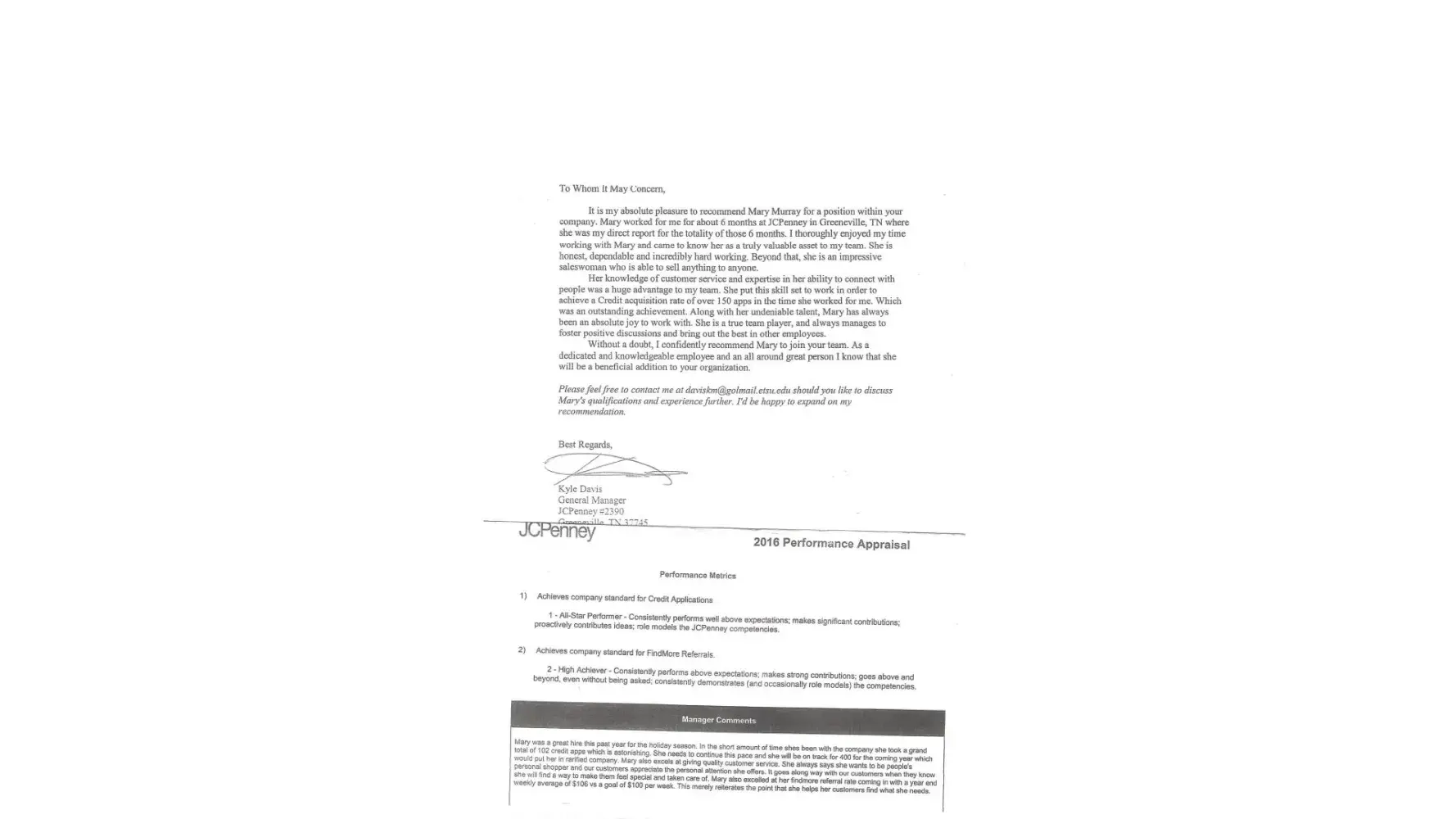
I have shopped at your store, Greeneville, TN, Bridget is manager and "Donna" is new OPS manager. I have been shunned by Donna two times by her (maybe because I was highest Achiever for Credit Apps & Service Plans @ JC Penney, previously... Because of my excellent sales skills & excellent consumer direction/promo's, etc, I perform above & beyond the competencies & goals of the company. I applied for a seasonal job, had my interview that went well, called to thank HR at the end of the day... I was told that I was "NOT hired" because the employees don't like me! WHAT? I thought this was a manager's decision, not the employee's! Your Greeneville store is UNPROFESSIONAL and the Manager, Bridget, should be held accountable for this. Ms. Donna is treading on legal action of character deframation & slanderous comments/behavior. So, perhaps, Donna is the problem, not me the consumer/shopper! As a result of this I will NEVER shop with your store again as Donna had refused to wait on me 2 times! What is her problem/issue?

Desired outcome: Bridget is accountable for her employees and the "DONNA ATTITUDE" has got to go! Bridget needs to learn her management skills and train people like Donna NOT to shun/offend customers! Get rid of Donna & Bridget needs to be transferred!

Read full complaint
View 0 more photos
Hide full review
ComplaintsBoard
E
4:14 pm UTC

Belk Farberware 14 Triple Cutlery Set

Store:108 Date:12/2/22 Time:1:25 PM Register: 102 Trans ID:1702 Order the set of knives online as a doorbuster. When they arrived the box was all torn up like they had stepped on it. Took it to the store to exchange for another one and they wanted to charge me $44.62. I also purchased two bras, buy one get one free. I has $20.00 in Belk rewards which means I should have paid $22.00, well that didn't happen. So I have a torn-up box to give for Christmas and I lost $20.00. The line of customers was backed up.

Desired outcome: Exchange the knives and give my rewards back.

Read full complaint
Hide full review
ComplaintsBoard
M
2:10 pm UTC

Belk No customer service

Early in November 2021 when BELK'S was running a sale we took advantage and ordered several items intended for Christmas Gifts.

Most of the items we ordered were delivered in multiple mail packages as if they were sent from different locations.

Our complaint is BELK'S offered a 'BUY 2 GET 3 FREE' on Women's Panties Item #[protected]. We wanted to take advantage of the deal and in doing so ordered 2 pair to get 3 FREE. Oddly enough the 2 pairs of women's panties that were received came in 2 separate packages.

We contacted BELK'S customer service to address the issue and a CASE #[protected] was established we thought to correct the shortage.

Instead, 3 weeks passed and no packages received and no notifications from BELK'S.

This was also very upsetting so we contacted BELK'S again to see what the resolution was. BELK'S customer service said the best they could offer us was 20% off our next purchase.

THERE WILL NOT BE A NEXT PURCHASE AS BELK'S IS NOT A TRUSTWORTHY RETAILER TO DO BUSINESS WITH!.

We would not consider buying anything else from BELK'S until this issue is resolved and Furthermore we intend to pass this experience on to our friends and family in the hopes that they as well do not shop at BELK's as well.

Desired outcome: We expect to receive what Belk offered, 'BUY 2 GET 3 FREE'

Read full complaint
Hide full review
ComplaintsBoard
E
2:56 pm UTC
Verified customer This complaint was posted by a verified customer. Learn more

Belk Belk's Fraud

Order #: [protected]

Order Date: 9/28/2022

Belk Case # 9837057

Sept 28,2022 I ordered a ring from Belk. On 3 Nov.22 I received from fedex an envelope that was ripped on both sides about 6 inches each. It was empty. I refused the envelope. Spoke with Belk customer service on same day. Claim number was issued immediately. Since that time Belk took $440.00 from my account. I don't know who stole the ring but I didn't get it. Belk keeps apologizing for my loss. I want my money back that they stole! FedEx said they would reimburse them if they filed for the loss. They won't file for the loss. Made me do it and FedEx said since I wasn't the sender they would not reimburse the stolen money and ring. Belk will not help me. except to say they are sorry for my loss.

Desired outcome: Money returned to my account. Now!

Read full complaint
Hide full review
ComplaintsBoard
B
4:52 pm UTC

Belk Belk Marketplace

I placed an order through Belk. Little did I know that Belk Marketplace was out of the country. The order stated easy returns on their front page with no definitive statements that returns are impossible. I had to order the items again for a different size and need to return the first order. They have given me no means to return the items. Their Customer Service is useless, no assistance. They told me I must contact the vendor. The vendor does not give any return information. I am currently out of the money I spent. Do not do business with Belk! They should be responsible for the money I paid directly to them.

Desired outcome: That Belk refund me the money.

Read full complaint
Hide full review
ComplaintsBoard
C
12:49 pm UTC
Verified customer This complaint was posted by a verified customer. Learn more

Belk Tracking number

I placed an order with 3 different items. of the items i received an email letting me know that the 2 items where shipped out. When going on app it stated that all my items where shipped out but you can get a shipping number to track. I started a chat and asked the lady to please send me the information of my shipment on the 1 item that i have not received an email on. I provided all my info to her she provided me that item was shipped an would arrive 10/10/2020 with a fed x number. I asked her to please send info to my email so that i can track it. she told me that she could not do it. I'm not sure why they provided me one with all my other item that i have purchase. i called the customer service number to file a complaint. Spoke to 2 different people which wanted me to provide the same info that i have to each person. I'm sorry but Belks is not customer service friendly. Lacking in it. People forget that customers pay there pay checks. No one likes to get ugly but sometime you have to because of the lack of customer service. Needless to say i never got my email that i requested. Belks just lost another customer.

Read full complaint
Hide full review
ComplaintsBoard
D
6:47 pm UTC

Belk Returned Payments

For 3 months your company keeps sending back our payments to our bank (Wells Fargo) then charges us late fees(which are removed/Thank you). I have called your 800 number all three times this has happened and your Reps tell me their computers say you have NOT sent my payments back. Somebody is! My bank keeps redepositing my payments. I wish I had made copies of all the emails from my bank, but I only have my current one. Please find out why you keep sending my payments back please, this is getting a little ridiculous. Please find enclosed the email from my bank and a copy of when it was paid. Thank you for your time.

Violet G Nix (Account # Ending in 6841)

Desired outcome: STOP sending my payments back!

Read full complaint
View 0 more photos
Hide full review
ComplaintsBoard
A
4:31 pm UTC

Belk Online sales

I attempted to cancel an order because PayPal was not working right and ended up submitting a duplicate order by mistake. I immediately went to the Belk website to cancel the extra order but their site does not give this option. I attempted to “chat” with an online assistant but this was not an option because it was past 7:00pm (ridiculous). So I tried to call a live person on their customer service line but this was closed too because they don’t provide customer service after 7:00pm. So I submitted a written communication to them since nothing else was available. I called PayPal and they said that they couldn’t help cancel the order but said that my money had not been transferred to Belk so the transaction had no been completed. I did all of this within minutes of the extra order going through.

Two days later I got an email saying that my orders (plural) have shipped. AFTER this email I received another email from their so-called customer service saying “Sorry but we already shipped your order so no refunds.” This is not a way to do business. They provided me with no way to cancel the order because they do not have a process for doing this outside of their small window of availability. Regardless of the outcome I will not shop there again.

Desired outcome: I want my extra order cancelled.

Read full complaint
Hide full review
ComplaintsBoard
O
9:59 pm UTC
Verified customer This complaint was posted by a verified customer. Learn more

Belk The air has been broken in Belk store #0295 for over 3 months...unexceptable

I want to submit a formal complaint of the conditions that the customers and especially the employees are having to endure hours on end. It is unfair and unexpectable to have to work in these conditions for so long and now we have big fans blowing that makes it harder to hear and understand the customers. I am an employee with heart issues and my heart started hurting and I had a headache for an hour at work due to the heat.

I am going to have to resign soon if things do not get better. I am going to file a formal complaint if this does not improve. WE live in one of the hottest states in the south during the summer to have to work in limited to no air condition at the best settings.

We need a resolution now, not tomorrow as August is one of the hottest months in the summer in south MS.

Desired outcome: The air conditioner fixed in the next couple of days, at full capacity and fully functional.

Read full complaint
Hide full review
ComplaintsBoard
K
8:47 am UTC

Belk Employment

I was hired as a sales associate and moved on to other tasks within the stores daily business. I like my job. However, due to the new demand in credit card and app down loads and email captures within the company, my hours have been cut down to miniscule hours per week making it hard to swallow.

This is not what I agreed to when I signed up for the job. I do believe in trying your best at what you're asked to do, but if the customer says no, it is not your fault.

Desired outcome: These are trying times and customers are having to choose whether they eat, get gas, or buy shoes for their children or themselves for that matter. Suggesting a credit card with a 26% + interest rate is outrageous.

Read full complaint and 1 comment
Hide full review
1 comment
Add a comment
B
B
Bánh Mì
Bothell, US
Send a message
Dec 29, 2022 2:50 pm UTC

I returned my entire order and took Belk 2 weeks to finally gave me a refund for ONLY 1. There were a total of 4 items in this order. You can't make this kinda mistake. This is unthethical business practices. Not trustworthy. Do yourself a favor and shop some where else where they care for their's customers. Regarding order # [protected]

ComplaintsBoard
B
6:26 pm UTC

Belk Returns

I made a Belk online purchase of 3 pairs of men’s shorts ($19.95 each). I ordered them in small, but they didn’t fit. I called to get a return form sent to me only to be told that they didn’t pay for returns on clothes that don’t fit. I ended up having to pay $14.54 to send the shorts back. I only briefly tried on one pair as they were all the same kind and size…just different in color…and returned all three with their original tag and shipping label. They were all in just as good a shape as I received them. While this policy may save Belk money. I doubt it saves enough to keep the customer shopping there again. I know that I’ll never feel comfortable placing an online order with them again. For goodness sakes, it’s 2022 and this is the first company that I’ve dealt with that made the customer pay for something that wasn’t to the customer’s satisfaction. Very disappointing. If you receive something in a size that doesn’t fit, you should not have to pay to return them.

Desired outcome: Refund my shipping cost of $14.54

Read full complaint
Hide full review
ComplaintsBoard
L
1:48 pm UTC
Verified customer This complaint was posted by a verified customer. Learn more

Belk Bombarded with emails

Suddenly Belk is sending me emails 4 and 5 times each day. All efforts to unsubscribe have been ignored. I love Belk's products, but these emails have made me resent having to deal with Belk. It seems as though my email address has been put into a robot apparatus that automatically spews out product information continually in an effort to get people to buy more products. If this is the case, it is not working with me. In an effort to stop receiving these email from Belk, I have redirected them to my junk mail folder and trash them as soon as I received them. PLEASE STOP SENDING ME EMAILS or you will lose a customer immediately!

Desired outcome: PLEASE STOP SENDING ME EMAILS!!!!!!!!!!!

Read full complaint
Hide full review
ComplaintsBoard
J
12:12 pm UTC
Verified customer This complaint was posted by a verified customer. Learn more

Belk Last order purchased

This phone number texted me about last order of 2 lavender baskets! I really only ordered one!" seems like this number made 2 I screenshot the message if you want proof! Phone number [protected]. This is definitely fraud! From june bordelon phone number [protected] 1709 lima st gautier mississippi 39553. Please do not send 2 of anything! I saved one of each if needs to be returned! If I paid for these items without my knowing I will keep! Thank you, june bordelon

Desired outcome: I want resolved asap!

Read full complaint
Hide full review
ComplaintsBoard
B
5:32 pm UTC
Verified customer This complaint was posted by a verified customer. Learn more

Belk Estée Lauder gift offer

Ordered online specifically to receive Estée Lauder gift. I received email confirmation of my purchase including the gift. This email included tracking information. When it arrived, the gift was not in the box. An alternative brand at significantly lower value was subbed in place of the offered gift. No communication regarding the substitution. After wasting a FULL hour with customer service, they tell me they can’t help. This is FRAUD and false advertising.

Desired outcome: Fix your inventory system so it informs customers AT TIME OF PURCHASE if promotional item is not available! This is especially important when the promotional item is valued at +$90 and is the MOTIVATION for the purchase!

Read full complaint
Hide full review
ComplaintsBoard
C
1:03 pm UTC
Featured review
This review was chosen algorithmically as the most valued customer feedback.

I recently visited Belk in Bowling Green, KY which I rarely visit due to not really connecting with the audience that the corporation is targeting. I made an exception Saturday, April 16 that I quickly regretted. I enjoyed perusing the wares and was ready to check out when an associate was incredibly rude. The items that I purchased were clearance item...

Read full complaint and 1 comment
ComplaintsBoard
S
10:22 am UTC

Belk Order#[protected]

Ordered levian earrings on March 1 online after visiting the dalton, ga store for help. I won 500.00 in gift card from Marrietta store for a cupid contest. I want to use 475.00 of gift cards for purchase of earrings. Manager told me there was no ways to apply gift cards to an online purchase. So she showed me how to add 19 gift cards (475.00 total ) the gifts were in the amount of 25.00 each thru belk online website. I watch each gift deduct amount as I put in. I had remainder of 78 dollars and some odd cents left after using 19 gift cards at 25.00 each. So I used my belk card for the rest and received credit card bill for total amount of purchase which was $553. 00. Call belk to dispute charge and told me nothing could be done and that I could return earrings. I could not understand if online only show 78.73 who I was charge full amount. I asked if gift could be refunded but nothing could be done. So much for winning cupid contest.

Read full complaint
Hide full review
ComplaintsBoard
B
2:34 am UTC

Belk emails

I have been in Florida on holiday, and whilst there created a Belk account.

I now wish to unsubscribe from the daily emails that I receive.

The unsubscribe link in the emails takes me to a basic Belk home page, where NONE on the links are working. Please unsubscribe me from all further emails, and I will certainly be careful not to subscribe again.

UK legislation makes it an offence not to provide an unsubscribe mechanism.

I have used both Chrome and Edge. Neither work.

Read full complaint
Hide full review
ComplaintsBoard
J
9:19 pm UTC

Belk Kim Rogers shirt

I made an Oder and Belks email me my order is ready for pick up at Ahoskie Store.. I went to get my order and they told me they did not see it.. I explained to them I got email I even showed cashier.. I called back late this evening asking for manager and he knew about the situation ..I was upset because I drove a distance for the order.. and gas is high.. now I have to go back again to get my order.. This is ridiculous..

I should have been offered something for my gas and time.. Because it’s their fault.,

Desired outcome: Reimburse me for my extra trip for order they over looked..

Read full complaint
Hide full review
ComplaintsBoard
K
1:17 pm UTC

Belk Customer Service

Purchased a prom dress for daughter - THE dress. It came damaged, there isn't another in her size, so can't exchange. Contacted customer service via phone, stating we're willing to keep if they cover cost of cleaning/repair. They escalated and filed a case 8226298 TWO weeks ago. I have followed up several times via phone and all they do is note the case account. I have followed up via email to the address that emailed me with claim info, no answer. I have tried to call local store before going in, to discuss with manager on duty, and no one answers the phone at that extension ever, or any other department for that matter. Sometimes I get hung up on and/or the phone rings forever. What a shame Customer Service in this world is dead.

Desired outcome: Minimally, a discount off what we paid, to cover cleaning and repair ($43 and $15 respectively.). At this point, a little more for my time and frustration.

Read full complaint
Hide full review
Trust badge
Collect Your Trust Badge
Be recognized for outstanding customer service
Belk Category
Belk is ranked 67 among 1009 companies in the Online Shopping category