Menu
Write a review
File a complaint
Air Canada Profile

Air Canada

www.aircanada.com

Learn how the rating is calculated

1.2

Overall customer rating from reviews and complaints

Air Canada earns a 1.2-star rating from 4 reviews and 618 complaints, showing that the majority of travelers are dissatisfied with their flights.

Claim Your Business
Take control of your profile: address complaints and engage with reviews
Write a review File a complaint

Air Canada Complaints Page 12 of 31

ComplaintsBoard
P
2:40 pm UTC
Verified customer This complaint was posted by a verified customer. Learn more

Air Canada Air Canada seat cleanliness

On September 27, I boarded a flight leaving Port of Spain, Trinidad. The flight was announced in advance that it would be late departing by approximately 40 minutes as a result of an operational issue.

The flight was 60 minutes late departing from Port of Spain. When I boarded the aircraft and went to my assigned seat, I observed it was dirty. There was visitable yellow, crusted liquid with small particles of matter within the described, that had stuck to the wall below the window and between the seat. It was observed on the seat and the floor in smaller quantities as well.

As it appeared to be discarded food or liquid from another person, I asked the flight attendant to assist with bringing something to clean/disinfect the area.

When the flight attendant returned, I was asked to identify the issue.

It appeared very obvious to me, yet I kindly indicated where my concern was. Upon leaving the seat, there was still evidence of the unknown matter on my seat, and on the wall below the window and between the seat, further down.

I did not feel comfortable based upon the initial response I received, to call the attendant again, as it was busy and we were clearly late and rushing to depart.

Instead I checked in the back of the seat pocket, to look for anything to wipe it down with. I only found a used tissue in the seat pocket. This lead me to believe the plane had not been cleaned prior to us boarding. This is unsettling considering we are hyper aware of germs, virus and bodily fluid in 2022.

I did not feel comfortable for the seat I paid to travel in. When I asked about connecting flights, Arrive Can info and where to pick up my luggage to avoid missing the connecting flight with Air Canada, I was provided two different sets of instructions from the check in and flight crew about picking up my bags between connections.

I missed the connecting flight via air canada, and there was no visible person at the departure gate to assit me as advised. I believe being informed is a form of prevention and right that travellers have as a part of their experience.

Overall, I could have tolerated the misinformation and lack of concern regarding my connecting flight and how to accommodat that prior to missing it, as I was placed on the next flight.

Desired outcome: I would like consideration of the cost of my ticket, as I paid to sit in a safe, clean and comfortable seat. This was not provided at the time.

Read full complaint
View 0 more photos
Hide full review
ComplaintsBoard
V
7:25 am UTC
Verified customer This complaint was posted by a verified customer. Learn more

Air Canada Overseas flight

Aeroplan,

For years I saved up points on Aeroplan so my wife and I could enjoy an Aeroplan Points flight to Cyprus for a months vacation.

We were to enjoy to tickets/return using our Aeroplan Points with 100 000 points left.

On Wednesday August 24th my wife and I entered Toronto Person Terminal 3 expecting to fly out on AC896.

My wife scanned her passport at the terminal booth with no issues. She proceeded to the desk and checked her luggage.

I on the other hand could not get my passport to successfully scan. I asked an Air Canada Ticket Personel for assistance.

They also tried with no luck. They asked to see my ticket which we printed off at home. They noticed that my passport name

and the ticket name were different. They also asked if I booked with Aeroplan which I stated I did. They asked to see my

Aeroplan card and then told me that Aeroplan changed the name on my ticket to my name on the Card.

When I booked my ticket and filled information in I typed in my Passport Info and my name on my passport is

Vladimir Hrubik. On my Aeroplan card it is Vlad Hrubik. They tried to change my name to Vladimir at the ticket desk with

no luck. They said I have to call Aeroplan. We called Aeroplan and an amazing gentlemen assisted us. He said that he would have to cancel

our Tickets for that Flight and have to rebook us and execute a name change for my ticket to Vladimir from Vlad.

He informed us that we would not make this flight and that we would probably be flying the next day.

He cancelled our tickets and we received all Aeroplan Points back. He stated that because he had to do a NAME CHANGE that I would have to book

a same day ticket at full fare. This used up all remaining points on Aeroplan and an additional cost of $1966.66.

Our new flight was AC834 to Munich on August 25th, then on to Cyprus.

He also changed it in the Aeroplan system to display my Passport name Vladimir for future flights.

As my wife was not doing a name change she was fine and no additional costs were incurred.

We then proceeded to book a Toronto Airport Hotel thus incurring additional coasts.

Aeroplan I am out 100 000 points and $1966.66

This is a failure on Aeroplan part as they changed my name on my ticket from Vladimir to Vlad.

I expect reimbursement for my additional costs and my Aeroplan points back that I had to use last minute.

sincerely,

Vlad Hrubik

359 Dale Cres

Waterloo, On

[protected]

Desired outcome: Reimbursment of Additional Costs and Flight points back

Read full complaint
Hide full review
ComplaintsBoard
B
9:05 am UTC

Air Canada Travel

NAME: Bestway Zottor

TEL: ±[protected]

EMAIL: [protected]@yahoo.com

INCIDENT DATE: August 30, 2022

TICKET Confirnation No.: R62NTG

NARRATIVE:

In the morning of August 30, 2022, I went to Pearson International Airport in Toronto to check in for boarding, as per the travel information provided. I am a Ghanaian-Canadian, and holding my ECOWAS IDENTITY CARD which holds true for Ghana citizenship ID( Ghana Card). All citizens of ECOWAS(Economic Community of Western African States) countries don't need visas to enter member countries.

Unfortunately at the check-in counter I couldn't find the card and the lady asked me to apply for online visa to Benin at the Airport. I started but could not go through successfully before the card was brought to me in the afternoon around 2 pm. As flights to Mintreal were hourly and my cinnection flight waa 6pm, I quickly re-joined the long que and finally made it to the counter. The attendant rejected the card. I insisted it was good for travelling to any ECOWAS country. He stood his ground and I stood mine. Eventually I demanded to see a Manager.

The Manager gave me approval but the attendant overruled him. He then went to see another Manager who supported his position. I again demanded to see that Manager myself. Eventually I ended up with a Manager by first name John who also said no, because the card was not in their system. But I also stood my ground because I know people who used that card to travel to ECOWAS countries without visas. Eventually with some three more Managers with John judging my case, they finally approved my card for travel to Benin without visa. But by then it was too late to make my connection flight in Montreal at 6pm.

They asked me to contact my ticket agent(ASAPTICKETS) to rebook. They offered me no accommodation even though I told them I had given up my temporary accommodation.

I had to pay out-of-pocket expenses for 2 nights accommodation @ C$314 and taxi fares at $141.29 and food at $55.00 for a total of $314 +$196. 29=510.29 In addition the ticket rebooking cost me $297 plus $30 tip =$327. So for initially wrongfully rejecting a valid travel document and then realizing their error later, Air Canada through its staff cost me a total of $837.29.

In addition upon successfully landing in Cotonou, Benin, on September 2, none of my luggages arrived. I had checked-in my carry-on, meaning I had nothing besides the clothes I had on. I had to go to Lome(Togo) to temporarily stay with a friend. I had to buy some clothes and other things in the interim before claiming my luggage on Monday Sept 5th, 2022, which took me a whole day at travel and meal cost of $45(not included in the total above). Apart from a little pack containing basic things such as personal hygiene items, I received no further compensation for the delayed luggage.

Considering the unplanned expenses and personal inconvenience and emotional trauma I went through, I am humbly asking Air Canada for full compensation and an apology.

Desired outcome: 1 FULL REFUND OF COSTS2. COMPENSATION FOR INCONVENIENCE AND EMOTIONAL TRAUMA3. AN APOLOGY

Read full complaint
Hide full review
ComplaintsBoard
F
5:32 am UTC
Verified customer This complaint was posted by a verified customer. Learn more

Air Canada Flight delay

We booked a flight to Rome Fiumicino from VS Travel on Friday July 29th, AIRCANADA flight AC0892 booked for August 23rd leaving at 19:25 but the flight was over 5 hrs delayed due to mechanical issues causing a domino effect with our car rental as they had an issue with the delay and hotel as we arrived later to all these and starting our holiday on a wrong foot.

Desired outcome: Compensation for flight interruption

Read full complaint
Hide full review
ComplaintsBoard
R
9:51 pm UTC
Verified customer The reviewer confirmed their account using Facebook. Learn more

Air Canada Flight delays

This info has been provided on two separate occassions on air canada,s web page. How many more times to your idiotic system require the same info in order to deal with this, or is this just a stasling technique?

IF SOMEBODY HAS THE BALLS TO CONTACT ME FOR FURTHER INFO MY PHONE NUMBER IS [protected] AND YOU KNOW MY DAMN EMAIL ADDRESS

On July 4 our flight from Halifax to Deer Lake was delayed and resulted in us arrivi g at our destination abt 36 hpurs late

Desired outcome: Settle the damn claim

Read full complaint
Hide full review
ComplaintsBoard
J
8:00 pm UTC
Verified customer This complaint was posted by a verified customer. Learn more

Air Canada Service in Business Class

On September 28, 2022 my wife and I boarded flight 847 from Frankfurt to Vancouver. We purchased business class tickets so that we could complete time sensitive tasks including completing a lecture.

I am a 64 y/o FT physician and my wife is a FT residential title insurance executive.

Neither of our power outlets worked for the duration of the flight. The battery on my surface pro last 1.75 hours at best due to the fact that I need it bright given my retinal problems.

The flight attendant informed us that the airlines was aware of the fact that our outlets did not work as asked whether we were informed by the gate agent.

We were not informed by the gate agent as I would have booked a different flight.

We paid for business class to ensure power and a suitable work space. Unfortunately we did not receive that on a 9 plus hour trans-Atlantic flight.

Desired outcome: Credit vouchers for two

Read full complaint
Hide full review
ComplaintsBoard
A
1:46 pm UTC

Air Canada Flight AC156 Sept 28, 2022 at 12:20AM Reference # 3JGVVP and Reference #4GXCYV

A week before our flights, I called Air Canada to confirm that my son Shane Corey Wilson could board the plane with his Birth Certificate and a receipt for his Alberta Identification Card. I was told that this would be acceptable, so I booked our flights and booked his as refundable just in case the situation changed. We arrived at the airport at 10:30 PM and before we checked in I reviewed this with an agent in the area of the Calgary Airport where you check in. They said it should be fine, so we checked in. Once we got to the boarding gate, I approached the team that was boarding this flight, they said he could not get on the plane with this identification, I asked to speak with a supervisor and she also confirmed he could not board. I requested the personnel at the gate to cancel both of our flights and when I called RBC Travel today, they told me both bookings were set up as NO SHOW. I am very upset that I cannot trust the personnel at the gate to set this up per my request. Now, I have lost my airmiles and the cost of Shane Corey Wilson's REFUNDABLE flight. I will be setting up a complaint with the airline advocates because this is not acceptable. I should be able to trust your personnel to cancel upon my request and if they could not, I would have expected them to tell me at the boarding gate.

Read full complaint
Hide full review
ComplaintsBoard
M
7:29 pm UTC

Air Canada I am complaining about the broken lock in my box which has damaged my box

I flew into London Heathrow from Ottawa - Toronto - London Heathrow on Sept 18 and landed Sept 19, 2022. At the baggage claim area, I noticed that my bags were missing. I lodged a complaint at the information desk and I was told to find a complaint. My File number - LHRAC4302. For a start this was so distressing as I was coming in for an exam. I had no change of clothes and my very important jotters were in these boxes.

On Sept 23 at about 2:00 PM one of the boxes - the red one was delivered to me, but sadly I noticed the zip was intentionally broken and the lock was kept in another pouch of the box. This is quite unfortunate. This day 5, I am still expecting my other checked in luggage.

Desired outcome: I will appreciate a response as to the whereabout and possible delivery date of my other bag as well as due compensation for my damaged luggage and extra days spent where I am currently lodging.

Read full complaint
View 0 more photos
Hide full review
ComplaintsBoard
A
1:54 pm UTC

Air Canada ticket voucher/refund

Hi I received this email in April 8,2022 and havent yet received any correspondence or refund. I called the customer service line, waited on hold for 3 hours for the representative to tell me I had to email customer service.

I am very frustrated and would like a credit or refund.

Please advise,

Allana Scarfo

[protected]@gmail.com





Hello,

Please accept this email as confirmation that your request has been received. We recommend that you keep a record of your Case Number should you need to inquire about your request in the future. Note that processing may take up to 10 weeks from submission date depending on the complexity of the booking. To avoid duplication and further delays, please do not re-submit your information.

We thank you in advance for your patience and understanding.

Air Canada

Your case number is: CAS-4325348-S7M1J1 

Please do not reply to this email, as this inbox is not monitored.

******

Terms and Conditions

• By confirming this selection, you have given Air Canada permission to cancel your booking and issue an Air Canada Travel Voucher.

• The unused value of tickets and ancillary fees for all passengers on your booking will be transferred to the Air Canada Travel Voucher.

• The following booking channels are not eligible for Air Canada Travel Vouchers. If unsure, please contact Air Canada Reservations at [protected] or your travel agency as some tickets booked with a travel agency may not be eligible:

o For bookings made with Aeroplan points, contact the Aeroplan Contact Centre

o For bookings via Air Canada Vacations, visit vacations.aircanada.com

o For bookings through Air Canada for Business, visit the Air Canada for Business website

o For all groups bookings, contact your travel agency directly

o For all Flight Pass products, visit Flight Pass for details

• Excluded from the list of eligibility are tickets that are refunded or partially refunded, forfeit, void or revoked as well as tickets where a charge back request has been initiated.

• The Air Canada Travel Voucher can only be issued to the primary passenger on file who may be different than the person associated with the original form a payment.

• The Air Canada Travel Voucher will be sent to the main email address listed in the booking. If there are no email listed in the booking, the Air Canada Travel Voucher will be issued to the email address listed on this request form. If there are multiple email addresses listed, Air Canada Travel Voucher will be issued to the email address associated to the primary passenger.

• The Air Canada Travel Voucher will be issued in the currency the ticket was purchased in, as long as it is one of the following currencies: CAD, GBP, EUR, USD, AUD, CHF, CNY, DKK, HKD, NOK, SEK, TWD, INR and BRL. If the ticket was paid using a currency unsupported by the Voucher, it will be issued in Canadian dollars.

Desired outcome: travel voucher or refund

Read full complaint
Hide full review
ComplaintsBoard
S
9:58 pm UTC
Verified customer This complaint was posted by a verified customer. Learn more

Air Canada Carry on Baggage Flight 1092 San Diego to Toronto 21 Sept ETA 7.29 PM

It's a pity that the flight attendant lacked basic courtesy and forced my carry-on luggage to check in by claiming that there was no room in the upper bins. I was one of the last passengers and had to check in my luggage along with two other passengers.

Did the flight attendant inspect how the luggage was stored inside the bins? Upper bins were used by passengers to store luggage, computers, and gift bags.

Instead of taking up the upper bin space, the gift packs and computer bags could have been stored under the seats.

Despite my explanation, she was adamant and unwilling to listen.

YYZ, as you know, lived up to his reputation, and the bag appeared on the belt after 90 minutes. This situation could have been avoided if the flight attendant had received proper training. Because of previous negative airport experiences, I decided to only bring carry-on luggage.

Thanks

Sanjay Seat 30 C

[protected]

Read full complaint
Hide full review
ComplaintsBoard
A
3:08 pm UTC

Air Canada Checkin a bag with TD aeroplan

Air Canada flight 163 from Toronto on September 16, 2022 and wanted to check in a bag with TD Aeroplan Visa card. This card allows us to check in a bag for free and when i reached the line Air Canada representative will not allow to proceed. Keep insisting to go to the Air Canada check in machine to check. Still tried to explain the TD Areoplan visa and still made me go to the check in machine and checked my bag with her help and she promised it will not charge. So she was wrong and the credit card got charged $33.90.

Note: Air Canada customer service working in Toronto do not have any clue about the Aeoplan card members and the services available. They do not want to understand or help. Very rude not patient enough to listen.

Angelo M

Desired outcome: Suggestion: Have the CSR with knowledge in front line. Please train these front line the products and services what Air Canada and Aeroplan offers. Flagship carrier need to stand up for their services.

Read full complaint
Hide full review
ComplaintsBoard
E
10:07 pm UTC
Verified customer This complaint was posted by a verified customer. Learn more

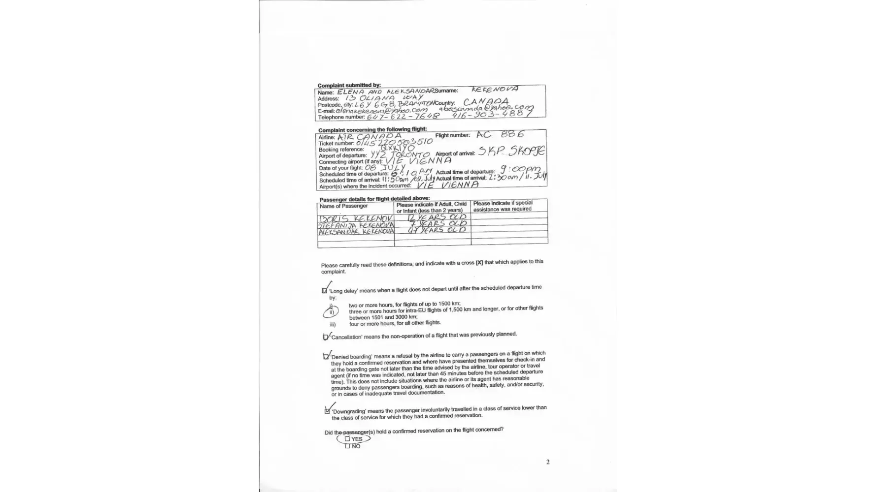
Air Canada Flight delayed

Dear Air Canada,

Our flight AC 886 was booked for July 08 at 6:10 pm, from YYZ Toronto to VIE Vienna. The actual time of departure was more than two hours of the scheduled time. We were told at the Toronto Airport that we will be on time for our connection flight to SKP Skopje. In fact, we missed the flight in Vienna, due to the late arrival from Toronto. After three hours waiting in a lane, from the airport in Vienna, we were offer the ONLY option to stay in Vienna (they give us a hotel, but no money for transportation and additional expenses), and to fight the next day to Belgrade, and instead of July 09, the time of arrival to Skopje was July 11 at 2:30 am. We travelled with two minor kids, we weren't ready to stay in Vienna, and spent Euros, if you are requiring, we have all the receipts. Reservation Code QXKIYO, Tickets number Kekenova Elena [protected], Kekenova Aleksandar0145220503509, Kekenov Boris [protected], Kekenova Stefanija [protected].

Desired outcome: We would appreciate full refund for our unexpected expenses in Venna, for spending more than 36 hours there. Because of rescheduling the flight, our four pieces of luggage weren't at the Airport in Skopje, at the time when we arrived.

Read full complaint
View 0 more photos
Hide full review
ComplaintsBoard
M
2:22 pm UTC

Air Canada Delayed bagage

Wednesday Sept 7Fight #AC1966 delayed luggage. Lost the one and only day in Quebec due to no cloths or medications. Missed the tours planed and did not arrive at hotel till after midnight due to filling claim at airport. Air arrival 10:11 but due to filling we did not get to hotel till midnight. Luggage was damaged. One way First class ticket was $3233. and service was awful. Food was awful and accommodations were those of economy.

Desired outcome: Airfare compensation, hotel compensation and compensation for missing our one and only day in Quebec.

Read full complaint
Hide full review
ComplaintsBoard
C
12:33 am UTC
Verified customer This complaint was posted by a verified customer. Learn more

Air Canada Physical Stress, Carelessness, Losses and Baggage

I am 69 years old lady with a walking problem and had a flight on 15th Sept 2022 (AC8819) which was scheduled for 4.20pm and was cancelled due to mechanical issues. We waited for 4 hrs and eventually told to leave.We were being told that there will be an email about the re scheduling flight which we never received.

Next morning (16th Sept 2022) when I went to the airport, it was a total nightmare for me. I reached at the Pearson International airport on time and straight away went to the Air Canada counter where I was being told that they didn't have the booking in their system. I even told them about how the flight was cancelled on the previous day but the agents were so rude to my son and told to go to the UNITED AIRLINES counter. We followed the instructions and went their, The United airline representative confirmed that the flight is confirmed from their end and the ticket was showing "READY TO TRAVEL". She even issued a confirmation and said that AIR CANADA has to issue the boarding pass. We went back to the AIR CANADA counter and showed them the printout from UNITED AIRLINES but the agent still insisted that there they cannot do anything and was very rude. They again re directed us to United airlines counter and told us that they cannot talk to the United AIrlines and we need to call the customer service (told us around 7.20 am).

It was so stressful as the flight was scheduled for 8.20 am and I had less than 1hr. I told them to call the supervisor and explained her the whole issue. The supervisor went to the United Airlines counter and took almost 20 minutes to rectify the issue( at that time it was 7.35am). It was eventually concluded that it was AIR CANADA's fault and AIR CANADA was the one which created lot of confusion and chaos.

Finally the boarding pass was issued and I was being told to wait for the wheel chair which almost took 15 minutes as the agents were just gossiping and kept me waiting (around 7.50am). I boarded the flight at 8.15 am just 5 minutes before the departure and in rush.

When I reached the Detroit airport, I waited for almost 1 hr but my luggage never showed up. I kept looking for AIR CANADA agents but the counter was empty and there was no body to guide me. My daughter finally called the airlines and waited for almost 1.5 hrs to get the tracking number (DTWAC22133).

I am a frequent AIR CANADA traveller and had a very bad experience due to their carelessness and rude miscommunication. Being a senior citizen, I was traumatized due to the stress while boarding . My son incurred losses due to parking, gas and day off from work. We wasted a lot of time due to AIR CANADA's fault and were shown a disrespect while at the counter.

I am attaching the pictures for the reference.

1) The first picture is the printout which was given by United Airlines as a confirmation of ticket which AIR CANADA was refusing.

2) The second picture is the HAND WRITTEN confirmation by supervisor when she went to the UNITED AIRLINES counter

3) The third picture is the parking fees which was paid + GAS separately

4) The fourth and 5th pictures are the boarding pass from two days.

My email is kaur.[protected]@gmail.com

Desired outcome: 1)Full refund of ticket.2) PARKING fees which was paid at the airport , GAS (for travelling twice) 3)TIME OFF which was taken by my son from his work.4)PARKING FEES my daughter paid in DETROIT

Read full complaint
View 0 more photos
Hide full review
ComplaintsBoard
H
10:51 pm UTC

Air Canada Changing flight time

I booked my flight a month ago with Air Canada and yesterday, I just received an email saying that my flight will be changed to 1 day earlier. So I have to wait about 14 hours instead of 2 hours for transit in Hongkong as I booked before. I only have 2 choices: to cancel my flight or accept their flight and wait for 14 hours for the next flight. I wish I can cancel my flight and book a different flight with a different company but the fare now is too high compared to 1 month ago. This really gives me the worst experience ever with Air Canada. This will be the last time ever I book a flight with this company.

Desired outcome: Please refund me and offer a flight for me at the same price

Read full complaint
Hide full review
ComplaintsBoard
D
2:18 pm UTC
Verified customer This complaint was posted by a verified customer. Learn more

Air Canada Unable to change or cancel my flight

I was booked on a flight for September 18th, 2022 going from Ottawa to Charlottetown. I am unable to travel due to family reasons and was hoping to at least change my flight to another day. I was on hold for two hours to only find out that I cant change or cancel my flight. I was told that I lost my money and there is nothing I can do about it.

My booking reference is 2EFUWX.

My husband and I always fly Air Canada for work and vacation. You will no longer have our business. I am so angry about this. I dont know about you but we dont have money to just throw away. We have always been able to change our flights in the past, or at least get a travel voucher. I will be making sure I tweet this out so no one else has to go through this.

If you wish to reach out to me you can reach me at [protected]@yahoo.ca.

Shame on you Air Canada

Debbie Trew

Desired outcome: I would at least expect to be able to change the day of my flight to meet up with my husband or get a flight credit.

Read full complaint
Hide full review
ComplaintsBoard
R
7:35 am UTC

Air Canada Hotel reimbursement

I booked 6 flights with air canada. The first flight was delayed due to baggage loading issues and awaiting an open gate. We missed oir next flight to germany. After several hours in line, we were told there were no more overseas flights until the next day, after several more hours in lines, we were booked on a flight the next night. They said they would out us up overnight. We had to find a room. We found one , the agent told us to get the room, pay for it, then get a receipt. He gave us a card with instructions on filing for a reimbursement. I did all that. When i arrived home, i filed the form and after two months was told that air canada was not at fault, so would not pay. The airline gave vouchers for the taxi rides and 20 dollars for the two if us to eat. They also gave another passenger, william, a voucher for a hotel room. Why do you pay for his room, but not mine. I emailed all this information to the agent who denied my claim. I asked him to review my claim with a supervisor. He will not even respond to my emails. What is going on with air canada. I have travelled with you before. Will someone talk to me please.

Desired outcome: Pay the 300 dollars that your agent at the airport said you were going to pay.

Read full complaint
Hide full review
ComplaintsBoard
G
9:56 am UTC
Verified customer This complaint was posted by a verified customer. Learn more

Air Canada Gate service - screaming attendant - ac206 - september 14, 2022

At 9:05 am on November 14 I was preparing to board AC 206 for Calgary from Vancouver.

My group and I had waited for the boarding of zone 4 to be announced and when it was called we proceeded forward.

Facing the entry I proceeded to the gate attendant on the far right. I had my drivers license and boarding pass in my hand for her, and I lowered my mask for identification.

But she became very agitated and when I asked her to repeat, she said "only zone 3 now". Then she said "can't you read numbers?"

I showed her zone 4 on my pass, and said the call was made for zone 4. The attendant on the middle station also called over and said they were boarding zone 4 now.

The attendant I was dealing with seemed to lose it at this, and began screaming at me. Not speaking in a raised voice, but screaming. I showed her my pass and id again, but she continued to abuse me. I asked her to be polite, but this did not help.

Perhaps she was having a bad morning. Perhaps she had bad family news. Perhaps she was not sober. Perhaps she just doesn't like Caucasians. Whatever her triggers, your gate staff should be trained to remain polite at all times and keep their personal problems at home.

This was the worst behaviour from airline staff I have seen worldwide in 40 years of flying.

(As a note, all of your other staff on this 3 flight trip, in the cabin and at the gates, were very pleasant and well trained. Just this one gate attendant in Vancouver was a problem).

Peter Green. AC206 Seat 20B September 14, 2022

Desired outcome: Attendant to be counselled, a letter placed in her file, and she should be removed from contact with the public until she can show evidence that she is willing to comply with standards of service. More serious if multiple cases exist.

Read full complaint
Hide full review
ComplaintsBoard
M
10:42 pm UTC

Air Canada Cancelled flight

On sunday sept 4 my flight ac 8237 was cancelled toronto to sudbury 1 hour before departing. We were to depart at 16:50, we were told we were on our own as it was out of air canada's control... No reason stated... Air canada representative gave us a new boarding pass and said see you tomorrow...

I used my phone to book a hotel as I was not familiar with toronto. Spent the evening alone... Left the hotel at 6;00 next morning to catch my rescheduled flight. Arrived in sudbury sept 5 at 10:00 a.M.

Air canada has denied my reimbursement claim for hotel and dinner. They informed me my flight cancellation was out of their control... It is an automated response... The first text I received said due to weather, the second text said due to aircraft availability

Desired outcome: I would to be reimbursed for hotel and dinner expenses and compensation for arriving at my destination 12 hours later.

Read full complaint
Hide full review
ComplaintsBoard
P
3:03 am UTC
Verified customer This complaint was posted by a verified customer. Learn more

Air Canada Cannot book online as my credit card details (VISA BankSA) are not accepted - Air Canada will not process my payment

I have tried for 2 days now to book a flight from Brisbane to Vancourver or Brisbane to Portland. I go through the entire process every time and enter my Visa details to pay. I get the message: "unable to process payment". There is definitely nothing wrong with my credit card and there is enough money in it to pay. I paid with the very same credit card when I went to Spain in August 2022 for 3 weeks with no incident. After countless hours of frustration, I eventually phoned your international help line for support. The lady listened to me for about 2 minutes and said she was unable to help me. She just put down the phone. I am not sure who to get help from now. Air Canada simply will not assist me. Looks like I am going to have to book with an alternative airline. This is disappointing as Air Canada was the fastest and cheapest option for my husband and I.

Desired outcome: Would still like to book extra legroom seats for Dr Ian McMillan and Mrs Karene McMillan on a return flight to Portland 5th and 30th August 2023

Read full complaint
Hide full review

About Air Canada

Air Canada is Canada's largest airline, offering domestic and international flights. It provides passenger transport, cargo services, and frequent flyer programs. Customers can book flights, hotels, and car rentals through its website, www.aircanada.com. The airline also offers mobile check-in and boarding pass options.
Trust badge
Collect Your Trust Badge
Be recognized for outstanding customer service
Air Canada Category
Air Canada is ranked 12 among 196 companies in the Airlines and Air Travel category