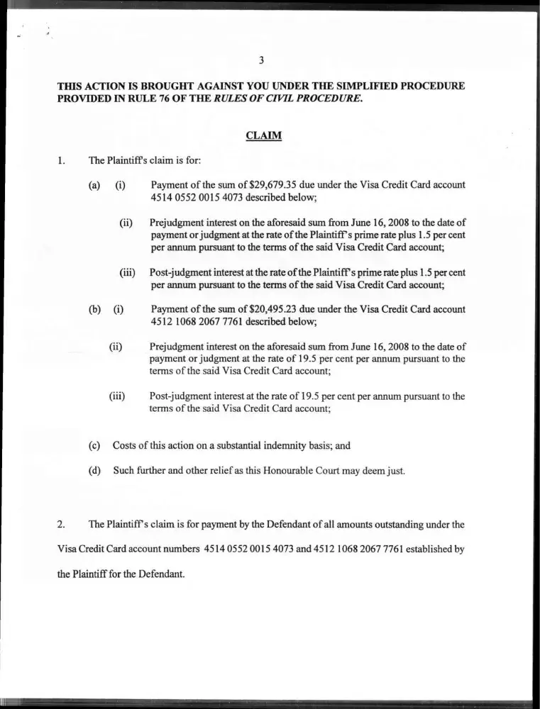
Menu
Write a review
File a complaint
Sandra Elsley

Sandra Elsley review: Fraud ( 5 comments)

A
Author of the review
6:41 pm UTC
Resolved
The complaint has been investigated and resolved to the customer’s satisfaction.
Featured review
This review was chosen algorithmically as the most valued customer feedback.

Sandra Elsley is a therapist in Niagara Falls Ontario, who has ripped off a friends family. Be aware of this fraudulent woman!

Country of complaint: Canada

Address: Niagara Falls, Ontario

View 0 more photos
Resolved

The complaint has been investigated and resolved to the customer’s satisfaction.

5 comments
Add a comment
V
V
vuori
Niagara Falls, CA
Send a message
May 11, 2013 8:24 pm UTC

Untrue and malicious intent by an ex partner who has used these same tactics to intimidate others. The house that the Civil Action claim was about turned out to be filled with asbestos, so she did not complete the deal as she wanted to use it as a retreat for clients too. It was a very large Century Old home on an acre or more of land. The 'bad' cheque was written on the wrong account - an accident - as she was in a rush, taking 16 clients on a journey to Peru that very day that the real estate agent was rushing her to sign an offer to purchase saying she would lose the deal. The only person who knew about this deal and who filed this complaint, the ex, insisted she should dump the reputable lawyer who was assisting her in this Civil Action suit, saying that he had lots of experience in the legal system, and that he should help her, and she shouldn't trust her lawyer. He used the money and stole this file intending to hurt her once he had used all of her resources. Her only fault, too trusting and too loyal to this rotten sod of a human being. We are family and sick of his stories, all designed for his own personal gain and to hurt a decent human being who only ever helped him.

V
V
vuori
Niagara Falls, CA
Send a message
May 11, 2013 8:45 pm UTC

The pathetic ex partner noted above pretends to be humble, gentle, and really smart. He tells stories that are so unbelievable, that people have to believe him as who would tell such stories otherwise. He told her he never lied, and she believed him. He is not who he professes to be, but most will not see that until it's too late. It's obvious to those of us who know him well, that he is a cruel user. He has no conscience. The closer you get to him, the more risk for you. He does not want to be found out. He is the Fantastic Story Teller, the Liar Extraordinaire. When he gets caught he lies some more and doesn't even flinch. He is quick with words, we'll give him that, and lives in his own reality. He pays off who he has to and when they learn too much he burns them. We can't wait for the book. It's very revealing, and very funny. In the meantime, its only a matter of time before his many misrepresentations of the truth catch up to him. We can't wait. He is the fraud, and his is the scammer. Time will tell all.

R
R
RealEstate1412
Toronto, CA
Send a message
Nov 30, 2014 4:50 pm UTC

I was in this old lawsuit. The message written by vuoi contains information that was discussed between our counsel but was not in the court record. For that very reason, I know writer vuoi is Sandra Elsley with one of her many aliases on the Internet.
Sandra Elsley is a marriage and family therapist in Niagara Falls, Ontario. Her late husband, John Timothy Elsley, was found dead in his apartment by his then-separated wife Sandra Elsley. The debts of the family and the mortgage of $293, 500 from Bank of Nova Scotia were all paid in full from the insurance payouts. A little while later, Sandra Elsley put in an offer to buy a home in Niagara Falls for $550, 000. At the time, she lived in her home on 6002 Mountaingate Drive, which had been the marital home of her and her late husband. Sandra Elsley claimed she had the $550, 000 with which to purchase the residence that she said she had wanted for many years. The owners of the home, James and Jacqueline Cooper, a retired couple, wished to move to British Columbia. Sandra Elsley presented a conditional offer to the Cooper's to buy their home for $550, 000. Sandra Elsley provided a $1000 deposit cheque with her offer. Sandra Elsley's cheque was returned Non Sufficient Funds. Sandra Elsley provided numerous different stories as to why the cheque bounced, one of which she claimed to be a bank error.
Soon after, Mr. and Mrs. Cooper received an offer from a man named Ian Herd, a millionaire developer from out of the area, to purchase their home. Sandra Elsley was contacted by her Real Estate Agent advising Mr. Herd had placed an unconditional offer on the home. The only way Sandra Elsley could buy the home was if she removed the conditions on the offer she had presented. Sandra Elsley removed the conditions and emphatically stated that the home "MUST BE HERS". Since Sandra Elsley advised Mr. and Mrs. Cooper that she had the necessary funds, and she had removed all conditions from her offer and was closing on the sale shortly, Mr. and Mrs. Cooper purchased a home in British Columbia through a bridge loan - a type of loan that is provided by a bank when a home is sold but the buyer need funds to close another property short-term.
Ian Herd went away, and about a week before closing, Mr. and Mrs. Cooper's lawyers were asking Sandra Elsley's lawyer about funds, closing documents, utilities and everything else that occurs in the normal course of closing a real estate transaction.
Sandra Elsley's lawyer advised he was still without funds. We initiated a title search of Sandra Elsley's own home and learned it was maxed out with $300, 000 of debt owed to the Meridian Credit Union; this was new debt which had been acquired in the short period since her husband's death.
At closing, Sandra Elsley's agent advised the sellers lawyer that Sandra Elsley did not have funds to close and Sandra Elsley was asking if there was any possibility to contact Ian Herd to see if he was still interested or not.
We also received numerous communications from Sandra Elsley's lawyer and agent that she was borrowing money from banks and friends. Sandra Elsley then irrationally demanded a final inspection of the home (even though she was without funds to close) in what appeared to look like a staged dramatical event to distract everyone from the fact that she did not have any money to buy the home with. She could not find anything wrong with the house at that time. The sale fell through and Mr. and Mrs. Cooper now had an unsold home in Ontario, a new home in British Columbia and a new bridge loan they had to pay without the necessary funds from the sale of the home.
For the next year, Sandra Elsley disparaged the characters of Mr. and Mrs. Cooper, all the real estate agents involved, and Ian Cooper. She viciously slandered these people to anyone who would listen: insurance people, other real estate agents and bankers that either lived in the same neighbourhood as Sandra Elsley or were clients of her family therapy practice.
Mr. and Mrs. Cooper's house was relisted for sale after Sandra Elsley's lawyer advisded them that she was absolutely unable to service any mortgage. She had knowingly commited fraud. The house sold a year later at the beginning of the recession at a significantly lower price from Sandra Elsley's and Ian Herd's offers. Mr. and Mrs. Cooper filed a civil law suit against Sandra Elsley in Ontario Superior Court for their substantial losses. Sandra Elsley sued Mr. and Mrs. Cooper, real estate agents for the seller and buyer, and Ian herd for millions and she claimed fraud.
Sandra Elsley provided numerous stories as to why she did not complete the purchase of the home. They are as follows:
1) Ian Herd was a "plant" and not a real buyer to get her to remove the conditions from the purchase. She claimed he was a fraud. The defence proved beyond a doubt that Ian Herd was a millionaire Real Estate mogul, and did in fact have the funds to purchase the home.
2) Sandra Elsley then changed her story that her real estate agent, and the agent of the sellers, committed fraud by tricking her. This was proven false by the numerous letters that she wrote to everyone involved that she knew the rules and understood the contracts that she signed. She was not tricked in any way.
3) She then claimed that she had no recollection of signing and executing any of the documents. Her explaination to this was that she was off work on stress leave because she thought she had a heart attack from all the stress the law suit. She claimed that because of this, through no fault of her own, her health and her practice were suffering.
4) Elsley then changed her story, again, that she had the money but didn't want to buy it because of the home inspection. Sandra Elsley had already waived all conditions on the home and she was granted her final inspection. She was proven untruthful again.
5) We then learned that Sandra Elsley's lawyer, Guy Ungaro, had secured a mortgage to Elsley's home for legal fees owed. It was clear Elsley was not able even able to pay a few thousand dollars to her own lawyer, much less buy a $550, 000 home.
6) Then Elsley produced an affifavit from a boyfriend of hers, Glenn Klingler, a man who she claimed lent her $25, 000 for the home. He advised he advanced money to one of her credit cards, but $25, 000 was not certainly not enough to buy this home. It was believe she conned him and anyone else that she could into advancing her money. None of it went to the purchase of home.
7) Elsley then claimed the real estate agent and the sellers were bullies. She claimed they were harassing her when she went to do the inspection. She said they were mean to her and they intimidated her.
8) Finally, in Elsley's final desperate attempt to save herself, she claimed asbestos in the home was the reason she did not complete the sale even though she had not found any asbestos during her final inspection of the home.
In 2008, Justice Matheson heard the evidence in the case. He reviewed the executed documents of the purchase of the home. He reviewed Sandra Elsley's documents waiving all conditions. He reviewed a significant number of redherrings asserted by Elsley to distract everyone from the facts: Elsley felt entitled to a home she could not afford and cost an elderly couple a lot of money and stress. In fact, Mr. Cooper succombed to the stress caused by Sandra Elsley and her lies, and died of a heart attack before the pre-trial.
At the pretrial, Justice Matheson advised Elsley that in his opinion, the facts were clear and that she had not been truthful with the court. He advised her that in his opinion, she would not succeed at trial and would owe the sellers damages as well as the real estate agents that she sued.
A week before trial, Sandra contacted the lawyers of the sellers and real estate agents and advised that she would pay them $50, 000 to settle the case. She advised that if they did not accept this offer, she would file bankruptcy and they would get nothing. Based on her financial history, the lawyers and real estate agents accepted the offer knowing that Sandra would not be able to pay costs and judgements against her at the end of her trial.
We were advised that the $50, 000 did not even come from Sandra Elsley. She had conned yet another person into paying out the money for her.
I will post the entire court record with Elsley's numerous false statements for everyone to review.
A word to the wise: I would be very careful before entering into any business arrangement or dealing in any way with this woman.

L
L
LisaEvans
US
Send a message
Feb 26, 2015 10:16 pm UTC

You can now add Algae Dynamics to Sandra Elsleyès latest scam. She bilked clients of money to line her pockets.

For proof see: http://seekingalpha.com/instablog/37671456-nohedge/3753786-algae-dynamics-anatomy-of-a-questionable-canadian-ipo-in-us-markets

and

http://investorshub.advfn.com/boards/read_msg.aspx?message_id=111031490

and

http://www.sec.gov/cgi-bin/browse-edgar?company=algae+dynamics&owner=exclude&action=getcompany for the sec filings.

D
D
dmd760
Buffalo, US
Send a message
Aug 23, 2015 5:54 pm UTC

I am writing this as a warning to all businesses in the Niagara Region: beware of Sandra Elsley! She will rip you off without a second thought.

Sandra Elsley was a customer of my business for numerous months. We stopped taking cheques from her after they kept coming back NSF. She then used her Royal Bank credit card. I was contacted by the bank's fraud department to verify her charges. I was advised that she was claiming that she did not use our services and demanded the charges be reversed. After my confirmation that it was, indeed, Sandra Elsley, I was again contacted by the bank. I was told that she now claimed that didn't make the charges: it must have been her sister. Sandra then said if she did make those charges, she didn't remember.

I have since learned that this is a pattern that Sandra Elsley uses with a number of local businesses in Niagara Falls Chamber of Commerce. In fact, she was sued by the Royal Bank for fraud and lost.

I have worked hard building my company. I am frustrated and angry that a woman in her 60s who plays up the vulnerable old lady image, claiming she is a family therapist, is walking around out there ripping people off. Please beware of this woman. She is dangerous.

View 0 more photos

More Sandra Elsley reviews & complaints

Sandra Elsley - Fruad 6
Resolved
The complaint has been investigated and resolved to the customer’s satisfaction.
View all Sandra Elsley reviews and complaints