Menu
Write a review
File a complaint
Google Profile

Google

www.google.com

Learn how the rating is calculated

1.7

Overall reputation rating based on reviews and complaints

Google has an overall reputation rating of 1.7/5 based on 3 reviews and 1506 complaints, indicating that the majority of users are dissatisfied with search engine and online services.

Claim Your Business
Take control of your profile: address complaints and engage with reviews
Write a review File a complaint

Google Complaints Page 72 of 76

ComplaintsBoard
C
1:54 am UTC
Resolved
The complaint has been investigated and resolved to the customer’s satisfaction.

Google misrepresentation of products & hidden monthly charges

Last 3/25/09 I stumble this website #1and tonight website#2 a very similar website pay attention to last words after ==thats the only difference and the rest of site are completely the same. Both of this site charges $1.97 and I was able to copy their 'hidden monthly charges as follow:

Note: I file a complain to BBB and found their real company address which totaly different from their online advertisement here is the complete address from BBB Sandy, UT, YES! this is from Utah not WY in fact the zipcode they put doesnt even exist at BBB, anyway here is the address 837 East 0400 South #233 PMB Sandy, UT 84094

Please check this website, a BBB report about this company, you may file your complain in this BBB location (where this company is located) it may takes few weeks to hear from BBB but it worth it I have done this to many 'work at home' scheme and I got an answer and refund. Right now Googletreasurechest hasnt charge my account as yet but I already sent a complain to BBB in case they try to charge my Credit card. Anyway I hope this link will help you guys.

http://www.bbb.org/utah/business-reviews/internet-shopping/google-treasure-chestcom-in-sandy-ut-22233884

Shipping & Other Fees
Upon submitting a request for Membership, a Member ID and Password are assigned to you and can be used to gain access to googletreasurechest.com. The initial shipping and handling charge of one dollars and ninety seven cents, includes the google treasure chest kit as well as seven days worth of access to the online directories and training. After seven days, if you choose not to cancel, you will be billed your first monthly membership fee of seventy two dollars and twenty one cents for the membership fee for the googletreasurechest.com membership. Membership fees will be charged to the credit card used by you to complete the transaction. You have also unlocked a fourteen-day trial and twenty one-day trial to the Fraud SafeLockID and GrantSpring for just $19.95 and $14.95 a month thereafter (shows as "SafeLockID" and "GrantSpring") should you choose not to cancel. Prior charges for all programs are non-refundable but bonus subscriptions can be cancelled and future charges stopped at any time by calling toll-free 866.951.1406 Monday - Friday 9am - 5pm. All offers come with a monthly newsletter.
If you choose to sign up for this product and pay the recurring monthly charges using a debit card you hereby provide pre-authorization and consent that googletreasurechest.com may charge seventy two dollars and twenty one cents on a monthly basis. You may stop payment on any pre-authorized charge by notifying googletreasurechest.com at least three business days prior to the scheduled charge date. You agree your pre-authorization and written consent to charge your debit card is given in electronic form by submitting the request for the membership, and that an electronic signature is sufficient to authenticate your authorization to charge the debit card. You further agree that these terms and conditions shall be your copy of your pre-authorization for the debit card.
Upon completion of the order form, should your credit card be declined, we may, at our option continue to try to authorize your purchase on future dates. Your acceptance of these terms indicates your additional acceptance that should your purchase of either the shipping for your free kit, or your monthly membership fee eventually approve, you will accept and approve those charges to your method of payment.

#1. https://www.securecartcenter.com/NzU5M3wxODIyfDI2NzQ4M3x2Mg==/rxfum4b9/g
[This site shows a man from Portland, OR showing how happy and great this website, he also have separate website http://www.RobertsCashBlog.com]

2. https://www.securecartcenter.com/NzU5M3wxODIyfDI2NzQ4M3x2Mg==/zhfum4b9/g
[This site shows a man from Eugen, OR showing how he finally able to get married by making money thru this website.

http://www.bbb.org/utah/business-reviews/internet-shopping/google-treasure-chestcom-in-sandy-ut-22233884

Read full complaint and 25 comments
Resolved

The complaint has been investigated and resolved to the customer’s satisfaction.

Hide full review
25 comments
Add a comment
P
P
pissed off in RI
Coventry, US
Send a message
Jun 30, 2009 7:51 pm UTC

I can not believe what a scam these people can get away with. I was also charged $1.97. I called some number, don't even remember what number it was and they told me to send the foolish CD back to them and I would get a refund. RIGHT! You never get any refund just more charges to your card. You talk to some foreigner and all they tell you is you cancelled too late. These companies should show a red flag to the credit card and not be allowed to charge without your permission. Maria

D
D
Deborah Clark
Noblesville, US
Send a message
Jun 17, 2009 7:55 am UTC

I saw this advertisement for earning good money working from home with basic typing skills to qualify, so I filled out their form, but before I could get any information about who or what I would be typing for, they wanted all of my credit card information which I refused to give them before they answered my questions; I was about to close out of that website when a live chat box came up, and I thought at least they cared enough to answer my questions, but that chat box only served to tell about some extreme savings on shipping (for God knows what?) only if I took advantage of this offer today, not tomorrow. I proceeded to tell that chat person I would not give out my credit card information without knowing this other information about who and what I would be typing for; and all that chat thing could do was to keep on repeating that same thing, so I highly doubt that was even any type of live chat at all, and that it was fraudulant - they said my complaints were "understandable" but..., still didn't answer my questions and went on again about their extreme shipping discount.
It appears that nobody is really monitoring this website whatsoever other than taking money from these credit cards; something should be done to stop this from happening. I had somebody like them start taking unauthorized money from my account before and it got me into some very big troubles with bank fees because I am disabled and live on a fixed income; so I only live on a very meager wage - so if there are fees, they could even shut down my account - so I wouldn't any longer have anywhere to cash my check without paying quite a bit of it to the cashier who does.
Please get on these kinds of people - it's got to stop some where!

DEbCLarK

C
C
Crazy
Edinboro, US
Send a message
May 19, 2009 12:07 pm UTC

I got charged 72.21 with out know nothing. I sign up for CD $1-2 and I never get my CD I find out again when my back account show $72.21 Why? I never get my user ID, and Password and I never get to go in websit to see how it work but I have to pay 72.21 this not right. They should make sure peoples did sign up with they user ID and password afer they send CD out. Should review this business it right to do this.

Who have this problem please help and fill in this compain from below to help out other peoples.

http://plboards.state.wy.us/dental/PDF/complaint.pdf

If you would like to compain any business please search with

key word

State of___________compain business form

Crazyyy

B
B
BSALTS
US
Send a message
May 20, 2009 5:28 pm UTC

ON 04/27/2009 I SIGNED UP WITH THIS GOOGLE TREASURE CHEST FOR $1.97 AND THEY WERE TO SEND ME A CD WITH THE INFO ON HOW TO MAKE SOME EXTRA MONEY AT HOME NO STRINGS ATTACHED. LOW AND BEHOLD ON 05/19/2009 I NOTICED IN MY BANK ACCOUNT THERE WAS $72.21 HAD BEEN PULLED FROM MY ACCOUNT FROM THESE PEOPLE, I NEVER AUTHORIZED THIS WITHDRAWEL. NO WHERE IN THE INFORMATION THAT I FILLED OUT TO RECIEVE THIS CD FOR THIS HOME BUSINESS WAS THERE ANY KIND OF VERBAGE SAYING THAT THIS MONTHLY SERVICE CHARGE WOULD OCCUR. THESE PEOPLE ARE FRAUDULANT AND MISLEADING, THEY ARE BREAKING THE LAW OF FALSE ADVERTISMENT.
I AM SO DISAPPOINTED, JUST ANOTHER SET OF PEOPLE THE WORLD CAN'T TRUST.

C
C
Connie
Milwaukee, US
Send a message
Apr 29, 2009 8:18 pm UTC

I too agreed to pay $1.97 for INFORMATION about making money by posting ads. What I did NOT agree to was looking at my bank account online and finding a charge for $72.21 from these people. I did NOT authorize this charge. Why, if there are so many complaints about this, aren't they being shut down, investigated and prosecuted? I hate that I will have to probably close the account and open a new one to avoid any more MONTHLY charges I didn't authorize. These people should be f***king SHOT! I hope they all ROT in a prison somewhere and I hope all their cell mates f**k them in the A*S... like they did to so many others. As you can see I am really P.O.d. All websites should be screened, monitored and licensed by federal and state authorities before they are even ALLOWED to put up a website, no matter WHAT the website is about. What are the BBB's and Attorney Generals doing about this garbage?

S
S
SANDRA MAERTENS
US
Send a message
Jun 25, 2009 1:32 pm UTC

ORDERED A CD TO FIND OUT ABOUT WORKING ONLINE WITH GOOGLE AND ORDERED THE CD FOR UNDER $2.00. THEN WAS CHARGED ANOTHER 72.21 ON MY CREDIT CARD. HELP. HOW CAN I RECOVER THIS STOLEN MONEY?

K
K
KC
Elkhart, US
Send a message
Jun 17, 2011 2:19 pm UTC

On the AOL Home Page it says-I lost my job & Im thrilled!.He claims he makes money through links with Google.His ad states he lives in a town right near you. (robert nelson).But my friend lives 100 miles away-and HIS link said the guy lived in HIS town! Research the ad.There are MANY people who have been scammed!

S
S
sdkid
Chicago, US
Send a message
May 18, 2011 7:04 pm UTC

Saw an ad and like a idiot I clicked on it and ordered a disc. someone called and I thought I had canceled, but I was wrong. SO I am out 72.21.

A
A
awtz.co
PH
Send a message
Jun 26, 2009 7:40 pm UTC

the reason why all of you stupid people got a charge for this is because you people dont look at the terms and condition on this and you people love cheap program that promise you that you will going t earn a lot of money because all of you people complaining about this is stupid

M
M
Michael Moore
San Jose, US
Send a message
May 29, 2009 4:05 am UTC

I WAS A VICTEM OF A BAD BUSINESS DEAL WITH GOOGLE, I WOULD LIKE A REFUND.

SINCERELY,

MICHAEL MOORE

ComplaintsBoard
S
12:13 pm UTC
Resolved
The complaint has been investigated and resolved to the customer’s satisfaction.

Google unauthorized charge

I authorized $1.? cents on my credit card for Google success kits and now twice $29.95 has been taken off. I was this reversed immediately.
Susanne Flukinger

Read full complaint and 13 comments
Resolved

The complaint has been investigated and resolved to the customer’s satisfaction.

Hide full review
13 comments
Add a comment
J
J
John
US
Send a message
Dec 18, 2008 3:34 pm UTC
Verified customer This complaint was posted by a verified customer. Learn more

I ordered a free kit from Google Success Kit for $1.00. A week later I received a charge of $11.95 to my credit card.

I called the company and they said that when I signed up I agreed to to a one week trial, which is NOT true. Nowhere on that sales page does it say anything about a trial.

You first go to pay for it and it says it will be $5.95, for SHIPPING ONLY, no other costs, I declined and went to back out of offer and one of those automated agents came up and said how about if we only charges you $1.00. Well, it would be stupid if I didn't try it. So, I clicked on the link paid for it a chg. for $1.00 showed up and that was it.

I anxiously awaited for my disk to show up in the mail and nothing. That day I received an email with an access code in it to take a look at their site. There were Free to Download items there. Very cheesy stuff I must admit so, I figured I would bookmark the page I might need it when the disks arrive.
About a week later I noticed that there was a chg. of $11.95 from Google Success Kit and I called them. The woman on the phone said that there was some kind of 7 day trial, I asked where the disks were and she stated that the disks were out of stock and would be shipped to me as soon as they become available.

Well, needless to say I was steamed. I demanded my money back again and she said she couldn't do. I got a supervisor and the same thing.

Now I know why they don't use Paypal. They would be out of business QUICK because Paypal gives the refunds immediately upon disapproval and with as many complaints as this company has.

So, now I'm out $11.95, it's Christmas and no gas in my car. Great.
It's not worth going to the bank. With all the paperwork involved it would be 60 days.

If there is anyway somebody with this can pull some strings and get our money back that would be great.

Thanks.

C
C
Case #?
Sedona, US
Send a message
Dec 29, 2008 5:39 pm UTC

I was charged 11.95 after the initial ($1.00) on my credit card which is tied to my bank and this and a government grant program which I was also charged 11.95 for. There was no literature that I could see that indicated I would be charged this.

It wouldn't be so bad if the charges didn't cause overdrafts in my account costing me over $70.00

J
J
JT Hall
Forsyth, US
Send a message
Feb 10, 2009 12:03 pm UTC

Unauthorized charge to my credit card and no merchandise anyway. Want refund asap.

T
T
tnystwrt
US
Send a message
Feb 18, 2009 7:42 pm UTC

I wanted to just check out this product and for a $1 I thought what the heck. But then, I was getting charged actually my girlfriend was getting charged for I dentity theft, Fraud, and the google success kit which I never received. The total charges are $75.80, this is ludicris. Identity Theft was 9.95, fraud 4.95, the kit two times for 29.95 and of course the $1. I had canceled everything a month ago and still charging her. I want every cent put back into her account and plus interest. I just called and the money I paid in already is non-refundable, which is bullsh__. He said that they can't access the account to see if its been used. But, I got my membership canceled. The number is [protected]. Good Luck all, I am going to talk to my lawyer about this crap.

K
K
Kris
San Rafael, US
Send a message
May 01, 2009 3:14 pm UTC

Is there anyway to get the charges dropped?

K
K
Kris
San Rafael, US
Send a message
May 01, 2009 3:13 pm UTC

What do I do? Has anyone got their charges returned?

M
M
madintn
Philadelphia, US
Send a message
Mar 24, 2009 12:38 pm UTC

I ordered google money tree on Feb 4th. i recieved a phone call from a call center represenative. He claimed to be a google moneytree employee. He spoke with me a bit about the product. I had told him that I did not recieve the product as of yet and he told me that I should be recieving it any day now. Well at the time of me ordering it i was unemployeed. Well when i recieved the call from the rep I had found some work. So i told them I nolonger needed it and didnt want to become a google money tree member until i recieved my disk and actually used my 7 day free trial. He stated that he would make sure there were noadditional charges to my credit carduntil I called back in and signed up. He also transfered me to another represnative that turned out to be one of those companies that help you get your online buisness started and start booming. Wellanyways i turned that offer downas well.

Well 2 months later there is a 72.00charge to my bank card, not only that but there was one last month as well. Since my job requires me to travel, ihad no idea about the charge last month since i wasnt home to check my bank statement. Well i find out today that i have been charged 140.00. Which normally i wouldnt care since i make enough money. But some other things have come up and thinking that i had 140.00 extra in my account i thought it was np.

To make a long story short, my check bookwasnt balanced correctly and now i am negative 750.00 in my bank. To make matters worse, because i couldnt put gas into my car I couldnt go to work, and now if i miss tomm i will be fired. On top of that my car payment didnt go through and so now i am late on my payment and its close to being repoed. I also have a child support payment that didnt go through and now i am behind on that. So this is the damage that has come of the fradulent charges to my account.

Does anyone have any idea what can be done? I have called all 3rd party companies involved in this and noone is willing to help.

T
T
that81
Olivehurst, US
Send a message
Feb 17, 2009 5:34 pm UTC

HERE GOS THE NUMBER TO CANCEL THE GOOGLE KIT [protected] OR earncashfastwithgoogle.com

B
B
bodrn
US
Send a message
Jan 30, 2009 10:24 pm UTC

Cancell your card asap, there will be additional charges - probably already are!

K
K
kermit81
Adelaide, AU
Send a message
Jan 18, 2009 2:58 pm UTC

i was charged the same my biggest downfall is i didnt even recieve any information on how to make this extra money so im paying for this stuff and i havent even got it

ComplaintsBoard
I
11:38 pm UTC
Resolved
The complaint has been investigated and resolved to the customer’s satisfaction.

Google I want my money

I was charged 69.95 to my credit card and I did not approve it. I sighned up for 2.17 and still have not received the disc. Got a phone number and it is always busy. [protected]

Read full complaint and 3 comments
Resolved

The complaint has been investigated and resolved to the customer’s satisfaction.

Hide full review
3 comments
Add a comment
L
L
Lynz1
Las Vegas, US
Send a message
Jun 25, 2009 9:43 am UTC

I have been billed for 5 months @ $39.95 for something called goolecash that I did not sign up or ask for. God knows how they got my bank info. What do I do to make this along with 4 other companies stop this. Also THESE COMPANIES NEVER ANSWER THEIR SO-CALLED PHONES. Help ? thank you.

N
N
none
Houston, US
Send a message
Apr 05, 2009 8:00 am UTC

no support division to cancel plan that I never reveived

J
J
Julie
Memphis, US
Send a message
Apr 15, 2009 11:51 am UTC

The same thing happened to me, but I was charged an additional $74.95! I never ordered anthing besides the $2.17 disk that I never received!

ComplaintsBoard
J
10:40 am UTC
Resolved
The complaint has been investigated and resolved to the customer’s satisfaction.

Google fraud unauthorized charges

Hi my name is Joseph Meredith from the state of Michigan, I just received my bank statement and I was surprised to see where Google Treasure Chest took $72.21 out of my account. I was unaware they were doing this. I called their customer services line and the lady told me she could not return my money because 30 days was up. I told her I did not know they were going to take this money out and I want it back. She became rude with me and would not allow me to speak with her supervisor. How can I get my money back? My email address is [protected]@avci.net. Also beware of videoprofessor they will take $189.95 out of your account and you will have a big fight on your hands. Please everyone who reads this do not fall for the YOU WON $1000.00 WALMART CARD OR THE VISA $500.00 CARD THESE ARE SCAMS.

Read full complaint and 14 comments
Resolved

The complaint has been investigated and resolved to the customer’s satisfaction.

Hide full review
14 comments
Add a comment
L
L
Ladie
Fitchburg, US
Send a message
Jun 28, 2009 10:48 pm UTC

I totally understand where all of you coming from. The exact same thing happened to me tool. I was charged a total of $203.00 from my bank account. It was from Google Treasure Chest, A1 Member, Safelock ID, and Grants Master. All I did was purchased a CD for $1.97 which was paid toward shipping and handling. And a couple of weeks later I was charged $72.21 twice. Safelock ID charged me $38.84, A1 Member charged me $24.87, and Grants Master charged me $24.87. I'd finally realized that it was a fraud. I called to the number that was provided in my bank statement. I demanded a refund back. They kept on leading me on with all these ###, stating that I will get my money back within 7-10 business days. It has been 4 weeks and I haven't seen a penny from there. So, I went to my bank and file a fraud dispute upon those companies. I canceled my debit card number and asked for a new card. My bank refunded back the money that was taken out of my account. They told me that they will deal with those companies. Let your bank deal with those ###ers.

E
E
EBI510
US
Send a message
Jun 24, 2009 7:28 pm UTC
Verified customer This complaint was posted by a verified customer. Learn more

Do not listen to these people who state this is not a scam. They are plants from the company Google Chest. The only way to get your money back is to go to your credit card company or your bank and tell them this company is a scam and you did not authorize this charge and you want a CHARGE BACK. This is the only way I have been trying to get my money back since May 15th. I have been to the Attorney General, BBB and the FTC.. The FTC stated that everytime they track them down and get to the address they are gone. They are very good at what they do. Forget trying the upteen numbers. They give you the run around to tire you out and keep your money. It is to much paperwork and they have to prove their service or product to keep your money on a chargeback. See this ABC News Video on Google Treasure Chest Scam http://abclocal.go.com/wpvi/story?section=news/special_reports&id=6873047
That is the only way. Go to the Fraud Dept. of your bank, file a claim for a charge Back. That is the only way you will ever see your money again.
But first always call a nd cancel this service or they will keep charging your credit card. That is first and foremost.
There numbers are: Google Chest [protected] Grant Springs: [protected] Safe Lock: [protected]

Good Luck...

J
J
John
North Conway, US
Send a message
Jun 08, 2009 10:20 am UTC

I wish i would of found this website before i got scam by this ### now i got to call and cancelle from Google Treasure Chest and another scam http:hotbusinessmarket.com someone need to put who's ever in chargein jail or let me beat the ### out of them...

D
D
Don
Kernersville, US
Send a message
Jun 06, 2009 10:53 am UTC

I too fell to this scam. I was charged $72.21 but I canceled my card and was given credit back for the money. These guys better hope they dont ever call me again. It will not be nice.
I am out with a work injury and was trying to make a few bucks to live but not to be scammed

S
S
S.R.K.
Pittsfield, US
Send a message
May 27, 2009 11:59 pm UTC

I also was scammed. After too much internet strolling, I came across this Google Treasure Chest( Blazingkeywords.com) I felt that 1.97 was a steal for a CD that could make me money, even if it was half of what they discussed. I found out about 6 days later that my Card had been charged 72.21. Luckily I check my account almost everyday online, and I immediatly had a gut feeling it was the Google Treasure Chest. So I searched google for 72.21 charge and Look where I ended up. I then called them directly and demanded a refund and cancellation. The woman I was on the phone with was polite and cancelled my subscription and told me that I would get a full refund withitn 5-7days. To be 100% sure that no re-occuring bills, from either BlazingKeywords, Google Treasure chest, or a recent email I recieved from GrantMastersOnline.com would happen again, I contacted my bank and had them cancel my card and issue me a new one as well as opened a fraud dispute against Google Treasure Chest. I suggest everyone who has fallen victim to this scam to do the same, since there are so many follow up subscriptions that seem to be attached. Good Luck.

R
R
Roxy262
Brentwood, US
Send a message
May 25, 2009 7:07 pm UTC

I too fell for the scam. I found the website via Facebook. I was charged $72.79 for a subscription to Google Treasure Chest. After calling the [protected] and waiting for 20 minutes I was told by the guy that I would have to write a letter and ask for a refund. The address is 970 West Broadway Suite East 347 Jackson, Wyoming 83001. Today is May25, 2009. Then, Grant Springs charged $25.07 for something and I had to call [protected]. I was able to get someone that said I had called in time to get a refund but it will take 7-10 days. THIS IS SUCH BULL!

M
M
MissyP
Detroit, US
Send a message
May 24, 2009 9:45 am UTC

I, too, followed a link from a Facebook page (I think it was the Kevin's Blog thing). I normally wouldn't order anything like that, but after thoroughly scanning the "offer" and not seeing any fine print that tells you that they will charge you more later on, I went through with it. It was only $1.97, right? I got my credit card bill and saw the 2 charges: $1.97 and $72.21. There wasn't even a real company name; it was something like "For Refunds 866951." WTH?! So I contacted my credit card company and disputed the $72.21. They credited it; no problem. I sent an email to the address listed on the CD (which I received 2 days after I got my credit card bill!) asking them how I could return the CD which was never opened or used and get a refund. Of course I never heard from them. Then, about a month later, another $72.21 charge appeared (this time with a different company name "MONY TREE"), which sent my account over the limit, so I also incurred a $30 overlimit fee. I contacted the credit card company again. I pointed out the different company names, which just smacked of SCAM to me and I also sent them a copy of the email I sent to Google Treasure Chest. They refunded the $72.21 and the $30 fee. I called the 800 number on the CD and I got some woman telling me the same stories they told most of you: the charge is automatically added 10 days after I ordered the CD, I had 30 days after that to cancel (which I apparently didn't do) and they couldn't refund the $72.21. I asked her how they could possibly know when or if I ever even received or used the CD. That didn't matter. I asked to speak to a supervisor and she wouldn't transfer me. She said all of this was in the (non-existent) Terms and Conditions and she would cancel the "subscription" but she couldn't refund any of the charges. As with any charges you don't recognize or did not authorize, contact your bank or credit card company right away and provide as much information as you possibly can. I thank God for my credit card company. No hassle, just the help I needed!

G
G
gigi
Mumbai, IN
Send a message
May 13, 2009 3:05 pm UTC

BEWARE! Not only do google money tree/ google treasure chest take you for your 72.21 but they also sign you up for two other programs without your knowing SafelockID and Grantsprings. When you call to cancel the google scam they will tell you that your safelockid is canceled. But, you need to call Grantsprings. But check this out when you call grantsprings the guy Jonald told me that he did not know what Grantspring was and that his company was called product research network.com. He claimed I signed up with them the 23rd of April which is a totally different date than when I signed up for the google scam. If you do not cancel with them they will bill you $36.77 monthly. So Please Be Aware!

B
B
bbpsugar
Livingston, US
Send a message
May 13, 2009 1:31 pm UTC

I was taken for 72.21 twice. I called complaining that this was fraud to some obviously underpaid customer service rep. I demanded to talk to a supervisor whom I was told didn't take phone calls. I wonder why? Their practices are deceptive and shady and altogether unprofessional. I will file a case with the Utah BBB. Worse, they sold my info to some eBay outfit out of Idaho who tried to pressure me in to givin them $1700 to become a powerseller on eBay. Watch out for these snakes. I wish I would have found this site before I paid $1.97 for some BS CD that I didn't even use and then the $72.21 x 2 that was just a rip-off. I've filed a claim with Chase to try to get my money back...

B
B
Beth
US
Send a message
May 05, 2009 2:05 pm UTC

I just called [protected] to find out why they charged my account prior to receiving the CD. They said that I checked a box agreeing that the monthly charge would be after a 7 day free trial of their WEBSITE, not their CD. This is all just a b.s. scam. If everyone who went through this process realized it and cancelled it immediately, that would still be $72 bucks a person. That's a lot of money to employ the "customer service" people making minimum wage to hit the cancel key.

ComplaintsBoard
J
4:56 pm UTC
Resolved
The complaint has been investigated and resolved to the customer’s satisfaction.

Google money taken out without my knowledge

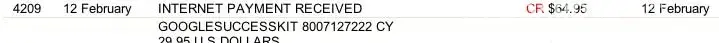
I have discover money been taken out from my creditcard twice. My mistake of being so trusting and have give my details so I can received a 'google sucess kit' for trial. So far I haven't received anty kit at all and also discover money been taken out from my credit card.First wasUS $29-95 on the 12th Feb 2009 and another one was taken out, Fraud protection US$4-95.
I don't even know what is all this.
Can someone help me to stop it or direct me to someone who can help.Thanks.

Read full complaint and 9 comments
View 0 more photos
Resolved

The complaint has been investigated and resolved to the customer’s satisfaction.

Hide full review
9 comments
Add a comment
K
K
K Zielke
Rockwood, CA
Send a message
Apr 29, 2009 12:05 pm UTC

I got suckered into believing I could make money. This Google Sucess Kit is a rip off they have never sent the kit and I have been charged $51.00 + $8.95 for fraud protection (I can see that does't work) they have now charged me twice for products that they never intended on sending. PLEASE DO NOT GET SUCKERED INTO THIS SCAM...

Z
Z
zoe
Adelaide, AU
Send a message
Apr 25, 2009 6:15 am UTC

I have had unauthorized money taken out of my credit card i authorized the $1.00 but since then i have had 2 more lots taken out the first one of $58.78 and the second of $55.65 and to top it off the product was not received and i would like the money put back or i will be contacting my bank to investagate fraud on your company google sucess kit.

B
B
Babette Racis
US
Send a message
Mar 31, 2009 1:15 pm UTC

For those of us who were ripped off by the Google Sucess Kit you can call these numbers to stop the charges. They will not refund what they already took.
[protected] for Fraud Protection
[protected] Goggle sucess kit
[protected] Identity theft - I could not get an answer at this number.

Call your bank and cancel your credit card. That is the only sure way to stop them from taking more

R
R
Robyn
Melbourne, AU
Send a message
Mar 04, 2009 5:08 pm UTC
Verified customer This complaint was posted by a verified customer. Learn more

I have had two amounts deducted from my account without my authorisation.
20/2/09 $1.57 and 28/02/09 $62.85 and the description on my account was Google Success Kit.

I remember looking at this information but at no time did I authorise any transactions or sign up for anything on this site.

I want my money refunded.

A
A
army1sg1991
Columbus, US
Send a message
Feb 20, 2009 11:58 am UTC

I signed up for the google sucess kit and never received it. There 3 unauthorized charges on my debit card; monthly charge 02/18/2009 google success kit [protected]: $12.31, 02/13/2009 $10.25, identity security, 01/20/2009 monthly fee $11.95 google success kit; 01/09/2009 identity security $9.95. Charges total : $44.46. These charges are unauthorized. I canceled success kit within six business days due to non receipt.

R
R
Richard
Sydney, AU
Send a message
Feb 11, 2009 4:08 pm UTC

I have also been scamed by this mob, has anyone received their money back? I have cancelled my card as it is an unautherised transaction, so they wont get any more money from me. $50A is more than enough for nothing.
Good luck to all
Richard

E
E
Evangeline Stevenson
Bridgeport, US
Send a message
Dec 07, 2008 6:39 am UTC

I never received my google kit and was charged $11.95 on my credit card and was told that it was that it was a $1.00 and my account is overdrawn. Please correct the problem and fix my account i would like you to please return my money to my account within 24 hours.

R
R
Ravi Nandha
Perth, AU
Send a message
Mar 24, 2009 1:41 am UTC

I Ravi Nandha applied for this add and orderd for $ 1:00 and never recived the prodoust. I would like my money back and want to stop this from going any further. If there is a real person from the company reading this message, can u contact me please and stop this account. thanks My Email is universal_is@hotmail.com. So far i have got over $200 taken out of account without notice.

p.s. I would like to hear from this company as soon as possible.

M
M
Mark Westfield
Winter Garden, US
Send a message
Feb 20, 2009 12:04 pm UTC

I signed up for that too, the same thing happened to me, cancel your card and have a new one reissued right away. This is an international scam. Don't waste any more time, get that card number changed right now. And remember, if something is too good to be true, its a scam!

ComplaintsBoard
B
6:22 pm UTC
Resolved
The complaint has been investigated and resolved to the customer’s satisfaction.

Google these people are frauds

I ordered this kit from google, and they said it was only $2.17. Nowhere did they say anything about charging &75 a month. I got my bank statement and there was the charge from google with a Utah phone number. I called the number and the guy gave me a different number to call. I called that number and got customer service. I explained to them that I wanted to cancel my membership and they give me alink, which is www.millionairemission.biz/cancellation.pdf, and much to my surprise no form comes up for me to fill out for cancellation. I call customer service again, and they tell me that they have to e mail me the form which could take up to two days. By the time I get their form, if I get the form, my seven days will be up and I will be charged $75. I have cancelled my credit card, so therefore they cannot charge me anymore, but I have read a lot from people who is having trouble with them as well. I just want to know why is the Utah number on my statement. My financial institution says that is the person who took my money. His number is [protected], and the number he gave me was [protected]. These people should be stopped from scamming people like they are. There are numerous complaints on them, so why are they still able to scam us?

Read full complaint and 11 comments
Resolved

The complaint has been investigated and resolved to the customer’s satisfaction.

Hide full review
11 comments
Add a comment
L
L
lueann robinson
Mumbai, IN
Send a message
Feb 19, 2009 9:03 am UTC

i went on-line to fill out appl for make 3, 500 with make google cash, but i called the next day to cancel the person said he would e-mail me a complaint form, so i went to my e-mail add but no form was there i called again during the said buss hrs no-body picks up phone recording office hrs are closed.

B
B
BrendaScott836
Pittsburg, US
Send a message
Feb 09, 2009 4:17 pm UTC

Please sir, do not take more money from my account! The PC that I use will not let me access support@makegooglecash!

N
N
nate hudgen
San Jose, US
Send a message
Jan 22, 2009 3:11 pm UTC

I have an account with Makr Google Cash That i would like to cancel

Nate Hudgen [protected]

nate.hudgen@sbcglobal.net

K
K
Kay Morrow
New Bern, US
Send a message
Nov 28, 2008 10:08 am UTC

Trird to cancel but still being charged on credit card

W
W
web design frauds
Lisle, US
Send a message
Mar 08, 2012 10:53 am UTC

I can relate, my web designer 499websites.com 360 networkservices inc has disappeared and does not respond. Karim from customer service gave me an estimated time frame of 5 weeks beta version It has been 7 weeks now. I do not know what my options are please Help. I have paid all upfront cost in advance and have no chances of getting any monies back.

C
C
Chinzee
Albuquerque, US
Send a message
Feb 07, 2012 5:23 pm UTC

I checked my bank account this morning and noticed a recurring withdrawel from my bank account yesterday so I called my bank to find out what the charge was for. I filed a claim to dispute the charge and was given a number by my bank representative to call to cancel so I finished up with my bank claims representative and called the number that Make Google Cash out of UT attached to the withdrawel. The automated operater says "The number you have dialed has not been assigned yet". Fancy That! "Make Google Cash" gives out non-existing telephone numbers to banks and consumers so that neither can call to cancel or dispute the charges. I, then, had to call my bank claims rep. again and she took the necessary steps to ensure that they could not take any more money from my account, and I was also given the numbers for Identity Theft Prevention and BBB. I had an issue with "Home Income Cash Machine" last month and since I haven't ordered anything on the internet other than signing up for Netflix. I'm pretty sure that "Home Income Cash Machine" and "Make Google Cash" are related. I say this because they were going to charge me $47 last month plus another $355. However, my bank rejected the withdrawel because of the amount. I'm upset but I also look at matters this way. I earn my money honestly and God is the one that has supplied me with all that I have and need. He doesn't take kindly to things like this, and I'm confident that those who steal from people like the jokers behind these scams do-He will deal with them Himself. I have done my part in writng this so that others are made aware of the b-s that is on the internet, and have taken the precautions necessary to protect my own interests. I recommend that you do the same. If you want to start a business on-line, and need the tools to set up a web page etc..check out the programs that you can get for web design etc at places like Office Depot-Office Max or Best Buy perhaps. You don't have to spend hundreds or thousands of dollars to start a business online. The program probably also tells you how to go about setting up the search engine, domain...and gives ones that are reputable. God Bless!

S
S
stewart bush
US
Send a message
Jul 16, 2009 9:23 pm UTC

I have an account with google cash that i would like to cancel ASAP.thank you stewart bush [protected]-wakjob01@yahoo.com

T
T
thepiedpipercub
US
Send a message
Apr 25, 2009 12:33 am UTC

thanks, you saved me allot of time and money!

L
L
LUIS GONZALES
Nagpur, IN
Send a message
Apr 09, 2009 10:19 pm UTC

I ALSO AM HAVEING TROUBLE CANCELLING

M
M
Megan
US
Send a message
Apr 01, 2009 6:00 pm UTC

If you paid for the materials with a credit card ..that
is where you will action ! If you didnt ..just keep trying and call the BBB and the Governor's office.
Dont laugh Govs dont want any trouble !

ComplaintsBoard
R
9:25 pm UTC
Resolved
The complaint has been investigated and resolved to the customer’s satisfaction.

Google debit my account after cancellation

I was checking the internet for something to make extra money and I came across Google Money Tree. I signed up on 12/21/09 (it was a Sunday) for a free trial. The following Three days on Wednesday 12/24/09 my account was debited $3.88. That same month on Tuesday 12/30/09 my account was debited $72.21. Again the following month on Thursday 1/29/09 my account was debited another $72.21. I just then realized when I received my bank statement that they are debiting my account every month. So I called and spoke to Mike at which I requested to cancel my subscription. He said it will be cancel that day Thursday 2/26/09. He gave me a cancellation number. When I visited my Bank on line, I found that my account was again debited another $72.21 on Monday 3/02/09. That is four days after my cancellation date. I again called to find out why am I still being charged when I had cancelled the previous month. I spoke to Tony and told me that the debit had happened the same day I cancelled. What a coincidence ha! I visited my Bank and disputed the charges. I hope I'm credited for that $72.21. I hope this does not happen to others.

Read full complaint
Resolved

The complaint has been investigated and resolved to the customer’s satisfaction.

Hide full review
ComplaintsBoard
11:06 am UTC
Resolved
The complaint has been investigated and resolved to the customer’s satisfaction.

Google unauthorized charges

Okay, after further investigation, I went to the website: www.googlemoneytree.com and pulled up the Terms and Conditions and I will insert below what I read. I did call the toll-free number and got the same "response" as the former number I called. I read about this information from www.careerbuilders.com as I am looking for employment. At the top of the website is a very convincing story of instant wealth with FREE grant money and that is where I got started with all this Fraud! The website for that is: www.lindasbailoutblog.com. I also signed up for the FREE grant money and it said I was eligible so I paid $3.95 and I am still waiting for the CD information! That website is: www.granthelporder.com and I was charged an additional $74.95. So now I have to contend with this also! I hop some of the information I have given will help anyone else to recover there money! Please keep me posted or email me @ rita.[protected]@sbcglobal.net. I will be glad to talk to anyone and help if I can. Good Luck to us all!
Kathy Markham

Read full complaint and 34 comments
Update by kthymarkham
Mar 02, 2009 11:26 am UTC

Sorry I forgot to add the Important information I promised:
From Google Money Tree Terms & Conditions:

Shipping & Other Fees
Upon submitting a request for Membership, a Member ID and Password are assigned to you and can be used to gain access to googlemoneytree.com. The initial shipping and handling charge of three dollars and eighty eight cents, includes the Internet Money Tree Kit as well as seven days worth of access to the online directories and training. After seven days, if you choose not to cancel, you will be billed your first monthly membership fee of seventy two dollars and twenty one cents for the membership fee for the googlemoneytree.com membership. Membership fees will be charged to the credit card used by you to complete the transaction.

If you choose to sign up for this product and pay the recurring monthly charges using a debit card you hereby provide pre-authorization and consent that googlemoneytree.com may charge seventy two dollars and twenty one cents on a monthly basis. You may stop payment on any pre-authorized charge by notifying googlemoneytree.com at least three business days prior to the scheduled charge date. You agree your pre-authorization and written consent to charge your debit card is given in electronic form by submitting the request for the membership, and that an electronic signature is sufficient to authenticate your authorization to charge the debit card. You further agree that these terms and conditions shall be your copy of your pre-authorization for the debit card.

Upon completion of the order form, should your credit card be declined, we may, at our option continue to try to authorize your purchase on future dates. Your acceptance of these terms indicates your additional acceptance that should your purchase of either the shipping for your free kit, or your monthly membership fee eventually approve, you will accept and approve those charges to your method of payment.

30 Day Unconditional Satisfaction Guarantee and Cancellation Requirements
At any time during the first thirty days, if you are not fully satisfied with your purchase, you may call customer service at [protected] for a refund of your monthly subscription and the shipping fee. When you call, a customer representative will give you an RGA (Return Goods Authorization) number. The kit must then be returned with the RGA number. You must be able to confirm delivery to receive your refund. Please ship your kit with a delivery confirmation to our fulfillment center: 405 East 12450 South, Suite G, Draper, Utah 84020. Note: This address is for returns only. All other correspondence must be sent to the address on the website.

Resolved

The complaint has been investigated and resolved to the customer’s satisfaction.

Hide full review
34 comments
Add a comment
A
A
Alisson
US
Send a message
Jul 11, 2009 11:23 am UTC

My son ordered the "FREE" information kit for google money tree and asked me to take a look at it. I was worried, so went online. I read the fine print, and since he never signed up officially he thought he was okay. NOT! They took the funds out of the bank anyway, $72 that he does not have to throw away! He had to cancel his bank card just to get it to stop!

C
C
Christina
Utica, US
Send a message
Feb 16, 2009 2:02 pm UTC

Just to let everyone know, I called the customer service number and threatened to contact everyone on this page and file a lawsuit and they refunded the entire charge plus the shipping and handling. I would do this asap!

L
L
LB San Mateo, Ca
South San Francisco, US
Send a message
Feb 12, 2009 1:23 am UTC

My compaint is the same as everyone here...Unfortunately this doesnt look like a fight I am going to win. Its horrible how a company can profit when NO ONE can say anything positive about them and they have charged hundreds, if not thousands, of people for absolutley nothing. Not even the BBB(Better Business Bureau) would answer my email.

T
T
Taken
US
Send a message
Jan 18, 2009 3:44 pm UTC

This company is a total fraud. I paid $3.88 S & H only for a CD and nothing else. Two withdrawls of $72.71 later I was informed by my ban that there in nothing they can do. The phone number they give with the withdrawl IS NOT the same that you get. The fine print on this company that the banks can't even find it. BEWARE nothing is ever free.

M
M
mary garder
Albany, US
Send a message
Dec 20, 2008 12:37 am UTC

paid for on my credit card for the google money tree. I was issued a user name and password to log in and no matter what I did I was not allowed access to the site.

A
A
Alicia
CA
Send a message
Dec 16, 2008 3:43 pm UTC

The Google Money Tree is a total scam. I sent my CD back the day it arrived and I have had two lots of $90.00 CDN taken from my bank. They will not refund me either. Please file your complaints to the Federal Trade Commission. To try and stop others getting sucked in.

B
B
buddy
Remer, US
Send a message
Feb 27, 2009 10:59 am UTC

I was charged $72.21 from google money tree. Had put in for the free merchendise. Got a call from someone named Steve. Told him I didn't want it. Never heard anymore untill I got a charge on my credit card. Called Google Money tree. Was informed to bad. That's my problem. Called the credit card company. Apparantly it's in dispute now. Is this a scam being run by Google?

B
B
becky
Tucson, US
Send a message
Dec 02, 2008 7:30 am UTC

i received a 7day triel and 2 days later they charged my account 89.00, I had only had the trial sample 2days, I still have the samples that were left

L
L
lwtarry
Columbia, US
Send a message
Feb 24, 2009 5:03 pm UTC

Signed up for information to work at home. Was told I had a free kit but needed to pay shipping. Ok, $3.80 didn't sound like I was going to be taken to the cleaners. Never received the product, or an email to confirm the purchase. This was two weeks ago that I signed up for this and now today I notice a 72.00 charge on my credit card. I called up Google Money Tree to get my money back and was told that there will not be any refunds given. That I had plenty of time to cancel the account and that I should have read the very fine print before I signed up for the product. The customer service rep then hung up on me and now I need to get with my bank and file a fraud charge and a hassel.

N
N
nigunit24
Norfolk, US
Send a message
Jul 01, 2009 12:35 am UTC

Yes, I bought into the Google Money Tree scam that was offering work at home statis and a package that was spose to contain materials that would jump stat my career. I paid the 2.00 dollar fee and was charged 75.00 dollars on my account. Any one have suggestions on how i can go about retriving my money or anything or is it something that you bladently lost. please email me for suggestions Nic24_g47@yahoo.com. thank you

ComplaintsBoard
B
2:48 am UTC
Resolved
The complaint has been investigated and resolved to the customer’s satisfaction.

Google unauthorised credit card charges

Ive just received my credit card statement and have noticed 4 unauthorised credit card charges from google success. First being on the 27/1/09 google success kit # [protected] for $46.55 AUS. 2nd on the 10/2/09 Fraud protection # [protected] for $7.45 AUS. 3rd on the 10/2/09 Identity Security #[protected] for $14.98AUS and lastly on 26/2/09 Google success kit #[protected] for $46.29.
The only authorisation Ive EVER given this company is $1 US for the free trial of google success kit which I have NEVER recieved!
So I wont my money back for the unauthorised credit card charges!

Read full complaint and 2 comments
Resolved

The complaint has been investigated and resolved to the customer’s satisfaction.

Hide full review
2 comments
Add a comment
C
C
claigs rist
US
Send a message
Jul 13, 2009 6:14 pm UTC

there is a similar issue with other products available on the internet. the same happened to a friend of mine for an e-bay sellers kit.. dont' know who's the vendor for this one. The way they justify it in the end is that $1 or whatever the initial charge was, is the price and the monthly recurring is their subscription.

in short, the only way to protect yourself is to read the details/fine print on the agreement, for all such software or services, before you buy from petty vendors, and try NOT to use your CC info with them..

R
R
rkhan
Brampton, CA
Send a message
Apr 16, 2009 7:01 am UTC

I live in Canada, Mississauga. You are right, they have done exactly the same thing with me...I authorized them only for $1, for one time...and they are keep charging me and the total comes around CAD $ 50, every month...If you have any idea how to stop it plz let me know...rayhaankhan@hotmail.com

ComplaintsBoard
C
7:42 pm UTC
Resolved
The complaint has been investigated and resolved to the customer’s satisfaction.

Google unauthorized charges

I was charged 72.21 on my bank account for something called Google Treasure Chest. I didn't authorize this payment and I have no clue what it even is. I want my money back. I can barely afford the things I need and this isn't helping. It happened on Febuary 11, 2009.

Read full complaint and 9 comments
Resolved

The complaint has been investigated and resolved to the customer’s satisfaction.

Hide full review
9 comments
Add a comment
M
M
Mary Forbes
Vancouver, CA
Send a message
Mar 17, 2009 11:01 am UTC

I recently ordered Google Money Tree disk for shipping charges. $4.97. I was puzzled to see an additional charge of $92.21 from Google Treasure Chest - for what I don't know. I have contacted my credit card and will have them pursue this issue because I haven't been able to find an address etc. for this bogus charge.

C
C
claude levesque
Dieppe, CA
Send a message
Feb 24, 2009 9:56 am UTC
Verified customer This complaint was posted by a verified customer. Learn more

well I sigh up for google tree 6 for the amount of 3.88 which was
OK but further on I was send a charge of 72.21 which I did not and
did not even got the CD and received nothing for the 72.21 which
was charge twice so far and it seem there is nothing I can do.
Any thing to get number of card and there it goes . I am sorry to
see google which is a very honest company and something happen.
The way it is set up nothing I can do can you help me finding some
solution I wont to cancell all touch how do I do it

Hope to hear from you Email Claudefern@gmail.com

V
V
VWebsterfan
Biddeford, US
Send a message
Mar 03, 2009 8:36 am UTC

I received my Amazon .com Visa bill for 1/27/09-2/26/09, and again was charged for Google Treasure Chest 2, for $72.21. I had received the same charge on my 12/27/08 - 1/26/09 bill. These are unauthorized charges. I have no idea what it is for. I need this taken care of as soon as possible. Thank you.

C
C
Carole dunn
US
Send a message
May 26, 2009 6:45 am UTC

I apologize, the correct email is caroleanns@aol.com

C
C
Carole dunn
US
Send a message
May 26, 2009 6:44 am UTC

I have had the same issues as other consumers complaining about google treasure chest. I had to cancel my current debit card so they can not do it again! I have written a letter to my credit union to reverse charges and waive my overdraft fees incurred. It is fraudulent activity if your not receiving product or service and the company is snatching money out of your account. I would like to begin a class action lawsuit against this company because of the deceptive practices and to protect other consumers. Please feel free to write me at my email mscaroleann@aol.com

Y
Y
Yves Caron
Montreal, CA
Send a message
Mar 27, 2009 7:32 am UTC

I had the same thing happened to me, I was charged on my credit card and never applied for.

A
A
Ashley
US
Send a message
Mar 23, 2009 7:53 pm UTC

yes i just recieved the same on my bill as well and need this taken care of. what kind of people would do this to others accounts. need fixed asap thanks

J
J
John Minton
Memphis, US
Send a message
Mar 10, 2009 10:43 am UTC

The same thing happened to me. This is a scam!

READ THE FINE PRINT!

D
D
dewallace
Harbor City, US
Send a message
Mar 08, 2009 6:33 pm UTC

I have the same situation. I have a charge on my card for $72.21 from Google Treasure Chest 2. I don't know what this is either. Did you get your money back? I want my money back!

ComplaintsBoard
B
6:55 pm UTC
Resolved
The complaint has been investigated and resolved to the customer’s satisfaction.

Google unauthorized charges

$3.88 For shipping, that all to receive a CD to learn how to make money from home. $72.21 later it seems that is how this guy makes money from home. If you gave these people a credit card number, cancel it NOW!
Customer service number is a joke...it is some sort of call center where the people are trained to tell you that when you placed an order and accepted the " Terms" you also agreed to a 7 day trial membership to their member website, after 7 days you would be charged $72.21 for the membership. The catch is that you don't receive the CD for 8-10 days. Call center agents will not transfer you to a supervisor because they will not take customer calls. These people need to be stopped...They rip people off who are trying to get ahead by making a little Honest income...

Pissed off in Virginia

Read full complaint and 7 comments
Resolved

The complaint has been investigated and resolved to the customer’s satisfaction.

Hide full review
7 comments
Add a comment
B
B
barbarow
Cocoa Beach, US
Send a message
Jan 03, 2009 2:44 pm UTC

Along with many others, I have been charged for "Education" on my Discover Card $72.21 in addition to a charge of $3, 88

There should be a class action suit brought against this group.

L
L
lion baby
Fort Lauderdale, US
Send a message
Feb 11, 2009 11:47 am UTC

I dont know how many other have been through this same process. I contacted google tree to get a refund for my charge of $72.90 and the representative did not want to. I asked the rep to speak w/ a supervisor rep states to me that the supervisors dont take call. I then asked the rep the name a number o supervisor he states company policy days he cant give that info. ask rep the name of their company he could not name the company. I had to open a dispute w/ my bank to see if they could reverse these charges. I let them know it did not say anything about that type of charge at the website. The rep also told me that I had access to some members only list and i should have received username and password in my email address. guest what checked my email there was nothing there. Did an one even get that package they paid $3.88 for?

L
L
Lois Rospond
Las Vegas, US
Send a message
Feb 20, 2009 8:47 am UTC

For the past several months we noticed a charge against our checking account monthly. It comes from Google Tree. We never suscribed! Having trouble getting funds back, and stopping charges.

A
A
anonymous
Lehi, US
Send a message
Mar 31, 2009 7:09 pm UTC
Verified customer This complaint was posted by a verified customer. Learn more

google tree customer service is based in draper utah at a company named platinum teleperformance 405 e 12450 S. they do customer service for a number of these scams that are all the same, just use different websites. The employees are trained to not give any refunds even when a refund is do. Only way to get a refund is to return the disc that is sent, but most of the time you are lucky if they even send one out. As for not being able to talk to the supervisors, they don't exist. They have "managers" but they are nothing more than the person sitting next to them on the floor.

E
E
Earnest B.Parker
Denver, US
Send a message
Mar 02, 2009 11:12 am UTC

Google Tree is an outright fraud. After obtaining your bank card information for a seven day trial offer they will then keep on debiting your bank account each and every month for $72.21 ignoring your original cancellation order and not ever return your money, nor reflect your money back to your account. About the only way to stop these crooks is to change your bank account.They will not refund your money and they give the name Google a bad name for what has otherwise been a reputable company. These people are outright "FRAUDS" and "CROOKS". A class action suit needs to be brought against these charalatans and put them out of business. These people are totally unscrupulous and would literally rob their own Mothers. Earnest B.Parker 3/02/09

E
E
Earnest B.Parker
Denver, US
Send a message
Mar 02, 2009 11:01 am UTC

Google Tree is an outright fraud. After obtaining your Bank card information for a $3.88 debit with seven days to cancel, they will still debit your account for $72.21 each and every month and about the only way you can stop them is to change your account. They will put you off with every excuse known but not give you any refund and will continue to rip you off every month. They will not refund your money . This is a scam having nothing to do with Google. These "CROOKS" need to be stopped at all costs. Do not, I repeat do not fall for any Google Tree work at home program. These people are totally unscrupulous and would literally rob their own Mothers. E.B.Parker Nauvoo, Alabama 3/02/09

K
K
Ken
Jacksonville, US
Send a message
Feb 12, 2009 2:36 pm UTC

I got credit card report today, and saw unauthorized charge $3.88 from google tree. I have never order any product or never subscribed any thing. So, this is a scam. Just let you know that I also never got any packages.

ComplaintsBoard
A
10:02 pm UTC
Resolved
The complaint has been investigated and resolved to the customer’s satisfaction.

Google major scam

I was duped too! This offered a free trial and I would only pay a one time fee for shipping of $1.00. I was charged the one dollar and not book or anything was shipped. Then charges started coming out of my bank... oh I am boiling mad. I contacted the BBB, Consumer Protection, IC3 Gov and my local Sheriff's department. I emailed the company that supports Paul E's website and let them know that I expect a refund. This is clearly robbery and I for one am sick and tired of being scammed. Maybe I am ignorant one time but never again. You should be able to trust legitimate businesses on the Internet and something has to be done about it. I suggest a large, class action law suit!

Read full complaint and 284 comments
Resolved

The complaint has been investigated and resolved to the customer’s satisfaction.

Hide full review
284 comments
Add a comment
C
C
CHALLO46
US
Send a message
Jun 24, 2009 6:14 pm UTC

I sadly signed up for $4.95 google kit ON 5/29/09and now was charged $67.00 ON 6/8/09 to become a member. I called their [protected] and they stopped the monthly charge for $67.00 but will not refund the $67.00

SHAME ON THEM.

THEN... ON 6/10/09 I GET THIS CHARGED TO MY CHECKING ACCOUNTCHECKCARD 0609 WEB TOOLKIT [protected] UT 24559309160900011833792

SHAME ON THEM! ! ! !

T

R
R
Robert Miller
St Louis, US
Send a message
May 12, 2009 11:26 am UTC

I authorized $1.00 to be charged to my credit card for a "success kit". I did not receive the "success kit" and my credit card was charged $29.95. Also my credit card number was given by Google to an Identity Security company who charged $9.95 a month to my credit card and a fraudprotection company that charged $4.95 a month to my credit card. Who is protecting us from the fraud protection companies?

U
U
uma
Ashland, US
Send a message
May 05, 2009 4:09 pm UTC

I have been recieving unauthorized charges to my credit card because of applying for a $1.00 charge for the trial of the Google Success Kit which I never recieved. I have since been charged repeatedly and I am on unemployment, and cannot afford these fees that are basically just ripping me off for nothing. I want it to STOP now!

K
K
Kerry Gilbert
Adelaide, AU
Send a message
Apr 15, 2009 6:43 am UTC

I recently signed up for a $1 trial to google success kit. More money than just $1 was charged to my credit card. The first transaction occured in March, 2009 for an australian dollar amount of $42.54. Then again on 8th April, 2009 a second amount of $42.54 Australian was charged to my account ($29.95 American). I have received no information about the kit via email or post. I would like a refund of all monies taken.

S
S
streetking29
Minden, US
Send a message
Apr 05, 2009 12:32 pm UTC

after paying the fee for the start up kit it was never recieved. There for I would like to cancel my subscription. This is only the next day and I did how ever read your disclamers in the small print. and I know about the fee's but also it states you have like 4 days to a week to cancel to avoid being charged. I really hope that my subcription is cancelled and taken care of before any unauthorized transactions take place. Thank You!

A
A
Azam Durrani
PK
Send a message
Mar 26, 2009 2:35 am UTC

I gave my credit card details for postage of this "kit"...I thought it was de google company dat was endorsing this product...I never received anything google and have no way of contacting them and every month they are charging my credit card account...
durranimail@yahoo.com

D
D
David Gibbs
Adelaide, AU
Send a message
Mar 25, 2009 5:29 pm UTC

I have at least 2 extra charges and at least 2 "Fraud protection" charges against my account... Prmission was only given to the 1 dollar deal and I want all extra funds returned and my name and details removed from your system... this is a disgusting and dishonest way to make money... STOP IT NOW.

Google Ref : Ref-[protected]

Fraud protection : Ref-[protected]

T
T
Tdl82
Melbourne, US
Send a message
Mar 23, 2009 10:00 pm UTC

This website offer a free trial for a dollar and then when you cancel your account they fail to tell you they have allowed multiple companies to take money form your bank acounts as so called identity theft protection company. I want them stopped and the name and companies that have been allowed to take money from my account reported.

N
N
Nancy
Mission Viejo, US
Send a message
Mar 21, 2009 3:33 am UTC

I started to sign up for the Goggle Success kit and had second thoughts about using my credit card online, so I did not complete the process. I did, however, enter my phone #. These people call me up to 3 times a day trying to pressure me into giving them my credit card #. I found this suspicious and found this site on a search. I can tell you that the call center is located in India or Pakistan. Can you tell me how to get them to stop calling?

K
K
kathy
Whangarei, NZ
Send a message
Mar 18, 2009 8:45 pm UTC

Google success kit is a Fraud and Lies & also fraudprotectionhelpdesk.com I want it cancelled I was charged unauthorised debits in my bank account too many times and got nothing back in return, I want my money back & it cancelled.

ComplaintsBoard
F
9:25 pm UTC
Resolved
The complaint has been investigated and resolved to the customer’s satisfaction.

Google fraud

Don't get ripped off by the Google Success Kit Scam. The site states that it will only cost $1. You put your credit card details in and you receive nothing. Over the next couple of months the Google Scam will rip you off at least $30 US at a time. They will also include other charges such as 'fraud protection'. I found out the hard way when my wife ordered the $1 success kit !
If you have fallen victim to this scam contact your credit card provider as a matter of urgency and CANCEL YOUR CARD ! Also report this matter to your bank and report it to the Police as the bank will require a report number to say you have reported the fraud !

Read full complaint and 21 comments
Resolved

The complaint has been investigated and resolved to the customer’s satisfaction.

Hide full review
21 comments
Add a comment
R
R
Rosemary Senior
Melbourne, AU
Send a message
Dec 05, 2008 6:33 am UTC

Paid $1.60AUD for the kit have not received it, have had charges of $27.91AUD unauthorized taken from my account, this matter needs to be addressed by you and I demand a full refund of all monies immediately. I wouldn' want to be connected to your product even if it made me a millionaire. I am in contact with my bank and will take all necessary steps I can to retreive the unauthorized charges to my account. SCAMMERS

P
P
pissedoff
Orangeville, CA
Send a message
Jan 17, 2009 9:56 am UTC

I got scammed into that stupid success kit was originally charged $1.23 to my visa and then 3 days ago was charged $38.26.. I have tried calling [protected] but i get the message about there business hours and then it hangs up.. I am calling within their ###ing business hours but cannot get threw! I have called the fraud and customer service and been told to get in touch with them! I have also called and cancelled my credit card so no further charges are made but i have to wait until the end of February without receiving anything before they can count it as being Fraud! It's a bunch of ###ing ### if you ask me but i will be getting my money back no matter what it takes!

F
F
FERINA
US
Send a message
Feb 25, 2009 11:57 am UTC

I ORDERED THE TRIAL VERSION OF GOOGLE SUCCESS KIT FOR $1.95. I AUTHORIZED NO OTHER CHARGES. THUS FAR, I HAVE BEEN CHARGED 29.95, 4.95, 4.95, 4.95 ETC I NEED TO KNOW WHO TO CONTACT TO PRESS FORMAL CHARGES WITH THE PROPER AUTHORITIES

A
A
Angelo Conte
GB
Send a message
Mar 21, 2009 6:31 am UTC

Hi Subscribed to Google Success Kit sometime ago, I accepted a charge of around $2.00 to my credit card,
I was supposed to received a kit that never arrived. Given the small amount involved I did not chase the matter.
I have just noticed that an amount of £22.50 has been collected from my Credit Card regularely.
These payements were not autorized. Today is saturday and the office of my credit cards are closed. on monday I will contact them in order to find out the exact amount that has been collected and that has to be refunded on my account immediately. I will also contact the competent authority and specialst media programs that deal with fraud matters. I am very disappointed in Google. I am sure that they are aware of what is happening, also because I have read many other people's complaints; and if they are aware of it and are not advising their clients, then this beheviour makes it even worse.
A very disappointed Google Subscriber.

F
F
froodmine
Windsor, CA
Send a message
Mar 25, 2009 9:49 am UTC

GOOGLE SUCCESS KIT -- Total scam. The parent company, if there is one, is "Miscellaneous Food Products, " as I found out when I called my credit card to cancel the transactions for, ironically, fraud and ID theft.

Here are the numbers to call if you've been dinged for "ID Security" and "Fraud Protection" on your credit card, subsequent to subscribing to the useless Google Success Kit -- which never arrived for me, btw.

Google Success Kit: [protected]

This connects you to their cancellation service. You'll have to endure about 2 minutes of canned hype before you speak to a rep. Don't bother hitting zero as it just starts the tape over again. Be SURE to call this one, as I'm sure you'd get dinged a year from now for new subscription fees for a non-service.

Fraud Protection: [protected]

ID Security: [protected]

Same deal. Suffer through the spiel, talk to a human being, forget a refund, but at least get future charges cancelled.

This is a scam with a shelf life, obviously. They'll keep going until enough people catch on. But the lowlife behind it, of "Miscellaneous Food Products" will keep finding new ways to defraud folks.

They will tell you that when you signed on everything was spelled out clearly. Just keep your cool, let them know it's a scam, and cut your losses.

T
T
tickedinillinois
US
Send a message
Mar 26, 2009 11:47 pm UTC

I ordered the success kit and was first charged $1.00. Since they have taken 9.95, 4.95 and 29.95 from my account. I am going to contact the bank tomorrow and ask them to not authorize any transactions from google. This is a total scam and its ridiculous that it is being found on websites. I want my money back!

F
F
fed up
Georgetown, US
Send a message
Apr 01, 2009 9:19 am UTC

Jan. o9--gave permission for $1.95 for s&h.. got nothing. Alerted by card company--lunch for everyone for a week---Get this! $8.95 bi-wkly for fraud protection! I'm unemployed with NO benefits, resourses, and dying from C.O.P.D. with NO insurance...yes..I AM suffering. I want my &%#%&& money back.

Seems to me the "GOOGLE" would go after these ###s on our (the scammed that believed in the Google name in the first place) behalf to help protect "their" reputation.

DOES ANYONE REALLY GIVE A SHIIIIIIIT?

B
B
Bots-n-Tots
NZ
Send a message
Apr 20, 2009 11:41 am UTC

On 3 Mar 2009 I signed up for a one of payment of $1 american dollar since then the company has stolen a total of $80.89,
I have just made complaint to the Complaint Referral Form, Internet Crime Complaint Center, but when I rang to talk to my own bank I was pretty much told that they didn’t want to know and nothing they can do about it

Here are the numbers I got though on if its going to help stop other people from being scammed

Google Success Kit subscription [protected]

Fraud Protection [protected]

Identity Security [protected]

i was told that my subcriptions would be cancelled - all 3 of them gave me a cancelation number
The phone lines all had recorded messages saying that as part of the Terms and conditions of the agreement we signed up for that all previously charged fees were non-refundable

From new Zealand 01681 instead off 001

Thank you to the person who put numbers up they really helped me

Fingers crossed they do cancel now since they stealing money for jam

N
N
nathalie Elwood
GB
Send a message
Apr 23, 2009 4:32 am UTC

Hi
I am absolutely disgusted with this so called company, Like others i WAS TOLD IT WOULD COST $1b but other regular amounts have been taken under name fraud success.
I demand a refund this is outrageous, I halso received absolutely nothing from the company.
Nathalie Elwood

L
L
ley
GB
Send a message
Jun 27, 2009 8:41 am UTC

i paid the initial $1, 00 (£2.12) for the shipping and handling of the kit and never recieved the kit and then on the 13th june 2009 $69, 90 was taken from my account without my permission! i am a single parent with 2 very young children and this money is very important and nessacary to me! I would like to no how to reclaim my money back! I will be taking this matter further if it is not resolved as quickly as possible...this site is nothing but a scam...

ComplaintsBoard
C
3:46 pm UTC
Resolved
The complaint has been investigated and resolved to the customer’s satisfaction.

Google unathorized charges

I wish I had seen all these complaints before I tried Google Tree. Same song next verse. I wanted the "free" information, agreed to pay $3.88. I never received the email or the package then I got hit with over $72.00. They won't refund it. We need someone to help us take action. This isn't a fluke, this is a SCAM. It should be illegal.

Read full complaint
Resolved

The complaint has been investigated and resolved to the customer’s satisfaction.

Hide full review
ComplaintsBoard
C
2:17 pm UTC
Resolved
The complaint has been investigated and resolved to the customer’s satisfaction.

Google scam

Is google cash a scam? Yes it definitely is, google cash scams have existed for some time. The google cash scam is the newest addition to a long list of scams and is appearing all over the internet. They go by several different names such as google cash scam, googlecash, google money tree scam, google kit scam, make money with google and the list continues. So i am sure a lot of you out there are wondering how to make money with google and if it is possible. Well the short answer to that is yes it is very possible, that is if you are devoted into to putting the time and effort in to make money with google.
Do not give a penny to programs offering to make you money with google not even shipping.

Visit http: / / www. Google - cash - scam.com to learn how they scam, watch videos that expose their websites and learn the process to making money with google.

Read full complaint and 2 comments
Resolved

The complaint has been investigated and resolved to the customer’s satisfaction.

Hide full review
2 comments
Add a comment
K
K
katsprite
US
Send a message
Mar 27, 2009 11:31 pm UTC

charged 39.95 unauthorized on my debit card after i sent a payment for 1.98 for cd.

C
C
Chantel
Cavan, CA
Send a message
Jan 25, 2009 9:47 pm UTC

Ok so I have been SCAMMED just like everyone else on this web page...I called my credit card company and had to stop payment to this bogus company...they might have to cancel my card...if I ever find this "Danny Goldburg" he will wish he never ripped me off

ComplaintsBoard
A
1:00 pm UTC
Resolved
The complaint has been investigated and resolved to the customer’s satisfaction.

Google fraudulent charges

These people scammed me to. They are piggy backing on googles name. I called [protected] and recieved some reimbursment but not for all I was charged for. When you do call demand to speak to a supervisor, don't back down till you get some compensation, make sure they give you a confirmation #, and tell them that you are reporting any other charges by them as fraudulent to your bank if it is more than what they offered you back. They will send an e-mail to your bulk account so watch for it. Print it or save it to a word format to make copies if needed for dispute in future. They have several websites to lure you in to the same scam. I just found one to day. It is educationclicks.net. Don't fall for it. If you are looking for additional info and complaints about this issue check out workathometruth.com. You will be astounded as to how many people in the U.S. and abroad have been scammed; all the way to New Zealand. It is really crazy!

Amy Donnelly
SLC Ut

Read full complaint
Resolved

The complaint has been investigated and resolved to the customer’s satisfaction.

Hide full review
ComplaintsBoard
T
3:43 pm UTC
Resolved
The complaint has been investigated and resolved to the customer’s satisfaction.

Google scanks!

Solution to get your money back! If you have (Like me) neen scanked by these... People, with the google success kit ive found the solution! It takes about half an hour but ive had the 'charges' from fraud protection, identity security and google success kit credited back to my account!
3 websites you need to visit -
www.quickcashsupport.com
www.fraudprotectionhelpdesk.com
www.idthefthelpdesk.com
On each of these websites open up a live chat window to talk to an adviser, this is 1 of my conversations with them and they are were all the same (Just litrally copy and paste what ive put but change details obviously!) =

Alice: hello and welcome to identity theft prevention. I'll be your live operator today. How may I help you today?

You: after recently subscribing to the 'google sucess kit' I have been charged 7.23 english pounds for your service which I shouldnt have been charged, so I would like my money back please.

Alice: could I please have your full name, e-mail address and zip code so that I am able to pull up your account?

You: (My name went here), [protected]@hotmail.co. Uk (And my postcode here)

Alice: please wait for a minute, while I locate your order.

Alice: when you purchased google success kit services, you automatically enrolled with the identity theft prevention ebooks, that's clearly stated in their terms & conditions.

Alice: please go to https://www.earncashfastwithgoogle.com/confirmorder.php and look at the right side of the page.

Alice: I have cancelled your id theft membership and you will not be receiving any further charges from us.

Alice: your cancellation # is:

Alice: (My cancellation number went here)

Alice: as per the terms and conditions that you indicated that you had read and agreed to at the time of purchase, the past monthly charges are non-refundable since there’s no way for us to tell whether or not the service has been accessed.

Alice: however, I have gone ahead and cancelled your membership permanently, and you will not be receiving any future charges from us. There’s no way for you to be enrolled with us without agreeing to the terms of the offer, but I do apologize if that was missed or if there was any miscommunication. Is there anything else I can help you with?

You: part of the terms and conditions are that I recieced the google success kit which I didnt so therefore it is not valid, I also never had the 21 day trial anyway so would like a refund

Alice: I can clearly see that you did not want this program, so i’m going to go ahead and issue a courtesy refund of the past monthly charge which you are inquiring about today.

Alice: your membership has been cancelled and any future charges have been stopped, and you will see a credit to your account of the most recent charge within 5-10 business days. If it does not show up within that time frame, please call back and we’ll have it looked into and resolved.

Alice: thank you very much for chatting with us today. Please contact us back for any further query. We are available 8 am - 5 pm (Mst).

It really is as easy as that! So get on the websites and good luck,

It would be nice to know if this has helped anyone get there money back so feel free to e-mail me

[protected]@hotmail.co. Uk

Good luck

Tom
X

Read full complaint and 13 comments
Resolved

The complaint has been investigated and resolved to the customer’s satisfaction.

Hide full review
13 comments
Add a comment
R
R
rioch
Daly City, US
Send a message
May 30, 2009 12:29 am UTC

I have had four months of charges by this "Google Success Kit" and never received anything from Google. Is this a scam or just a commonplace fraud?

R
R
rioch
Daly City, US
Send a message
May 30, 2009 12:27 am UTC

If you have the formula for canceling this fraud, I sure would appreciate a copy.

Thanks for your help.

Rich

M
M
mhobman
Brisbane, AU
Send a message
Apr 20, 2009 7:59 pm UTC

have tried these pages- 2 were just logos and the other one said click to speak to someone but no-one replied, very frustrating it has cost me $189.00 au so far, have cancelled cards but i never even purchased in the first place- i remeber seeing a link for the google kit but I never buy these things as for the other two companys- I have never heard of them

P
P
Pyne
GB
Send a message
Apr 20, 2009 2:39 pm UTC

Thanks lordyred, I was lured in by the same scam, and the numbers you gave appear to have cancelled my subscription to these fraudulent charges to my credit card. Fingers crossed there are no more appearing on my account. It's a pity it takes the cost of three / four International Rate calls to the States is the only way to get out of this mess - it seems they do get the last laugh this way.
Many thanks all for your input, hopefully I'll be more vigilant in future.

Stu

M
M
Matt
GB
Send a message
Apr 08, 2009 1:32 pm UTC

Hi I've just spoken to all the above about cancelling my accounts and used the telephone numbers as the websites don't seem to load (maybe servers gone down with all people trying to complain/cancel). Anyway had same speil as farmer tom above but did persist and managed to get two months worth of refunds from each after being offered half of last months fees and then telling them politely to poke it.
Good luck
Matt

S
S
shadowwhisper
GB
Send a message
Apr 08, 2009 7:05 am UTC

I have the same problem as minnoe and angry mum that the sites just display a logo? What else can i do i really don't want more charges i'm a skint student :(

L
L
lordyred
IT
Send a message
Apr 01, 2009 11:09 am UTC

I spoke to my credit card company about this today and they gave me a number to call [protected] after 4pm UK time
I called this number and remarkably got through to someone who was able to cancel mty Google Success Kit subscription
I asked aboutFraud Protection & Identity Security and was given two separate numbers, [protected] and [protected]
Again I rang both of these and was told that my subcriptions would be cancelled - all 3 of them gave me a cancelation number
I asked the last person about the 'transaction fee' entries that appeared on my statement - she gave me yet another number [protected] which seems more of a customer service number and when I got through to someone and quoted my order number I was told that the transaction fee entries were for the GoogleSuccess kit and it had been cancelled earlier today

The phone lines all had recorded messages saying that as part of the Terms and conditions of the agreement we signed up for that all previously charged fees were non-refundable

I hope this helps anybody stuck in the same position - I was told to ring after 4pm and all 4 lines were answered (eventually) - the whole thing took me about 20 minutes on the phone to the US

A
A
Angrymum
Perth, AU
Send a message
Mar 31, 2009 6:24 pm UTC

Hi there, this is a great idea, however every time i go to these sites, nothing but 2 logos come up! There is nothing to click on at all! Is there anything else i can do? I tried calling phone numbers too, but i dont get through, it rings a couple of times, and all i get is a beep, beep beep, like they have hung up on me :( Your help to get me out of this mess would be very much appreciated :(

M
M
minnoe
GB
Send a message
Mar 24, 2009 11:34 am UTC

These links don't appear to work, I can't get to chat to anyone on the fraud protection site and the other two just have the logos on the page and don't seem to load properly.

M
M
Mr K
SE
Send a message
Mar 12, 2009 11:16 am UTC

Mr Mullins,

I myself have also fallen for this and was outraged at the withdrawals made from my account. In such haste i cancelled my card and contacted the fraud department who know are aware of this on going scam. I came across your article and thought it worth a try and hey presto i have a full refund on both fraud protection and identity theft payments, however only a refund on the last payment for the 'success kit'. Even though i have lost around £20 and as long as the other money is reimbursed you have been very succssful in helping. So i congratulate you and thankyou for helping much appreciated.

ComplaintsBoard
M
3:11 pm UTC
Resolved
The complaint has been investigated and resolved to the customer’s satisfaction.

Google I was ripped off for $72.21 without my approval

I never entered a search for this company, never ordered info. A charge of $72.21 just showed up deducted from my bank account. This is very scary! I never gave them any of my banking info! I am very disappointed in google for letting this occur. I thought they had more scruples.
I cancelled my debit card immediately and filing a fraudulent disput claim. But I have to persoanlly make a trip to the bank which is over 45 minutes away and I am handicapped, making the effort difficult.

Read full complaint and 3 comments
Resolved

The complaint has been investigated and resolved to the customer’s satisfaction.

Hide full review
3 comments
Add a comment
J
J
John Knapp
Ottawa, CA
Send a message
Apr 15, 2009 2:28 pm UTC

This company is not Google, it's Google Treasure Chest. It says on their website at the bottom, they have no affiliation with Google.

D
D
Daniel
Murfreesboro, US
Send a message
Apr 08, 2009 8:32 pm UTC

This is sounding a lot familiar with what happened with me I purchased a google kit for review @ 1.97 shipping and handling never got anything in the mail sometime later a guy called was not clear who he represented and wanted to pin me down a price I refused of course. We agreed he would call back never heard from him again after doing some follow up I realized the guy was from Thrive Learning Institue apparently they have bogus domains on the internet to doop people. Well long story short they drafted 72.21 along with the 1.97 frome my account the latter part unauthorized I will be calling the 866 n0. my bank gave me during buisness hours... If
I can't resolve it thru them my bank told me they would fight on my behalf... We will just have to see what happens. I think its a shame when people trying to better their situation only to be preyed upon by greedy, buisness as usual con artist. What my granpappy used to say "Get a rope" these people are shady to say the least.

Lucky Daniel:Austin, Texas

C
C
Claude Gauthier
Port Saint Lucie, US
Send a message
Feb 24, 2009 10:17 am UTC

same thing is happening to me without my authorization and/or knowledge of this $72.21
this is unauthorized . and may be a fraud.
please put this money back in the same way you took it FROM ME.!

ComplaintsBoard
J
4:07 pm UTC
Verified customer This complaint was posted by a verified customer. Learn more

Google charges

To whom this may concern;

Dear Sir or Madam;

I"m writting this complaint about this companys practices and missleading advertizing. On January30/2007 I ordered what was called google profits kit $1.99(2.38). Now here everything is ok they chagred my card for that price with exchange. At this point is where every thing goes a stray, I recieved my statement for which I am now being charged $41.35 plus $51.47 for what I do not know. Now here is where it really screws up I'm being billed from a company that is a online drug store? Now this companyMarquilife8774620055 steps into the picture I have know idea who they were so I tried to email both companys. Both emails were returned email dose not exist, at this point I call the numbers that were given to me as contact information. The two company's emillionarire.com [protected] and [protected] for this marquilife company. Now here is my question if Google has such a good reputation why can they not keep an eye out for this kind of practices. Its bad enought that I get spam in my mail box that should be stopped now I have to put up with this kind of fraudulent company's that bear googles name on it. It's time for Google to get off it's butt and get rid of these kinds of online business that make it hard for the rest of us who do legal business online. So unless Google is going to return my money for allowing these kinds of busniess's to flourish unchecked on there search engine. Then we all should get the same kind of service for doing business this way.

Read full complaint and 36 comments
Hide full review
36 comments
Add a comment
Z
Z
zorro7000
US
Send a message
May 18, 2016 12:25 am UTC

I just checked my bank balance and was surprised to see a charge of $19.99 and two charges of 9.99 with the same description, *socialpoint g.co/payhelp CA. I have no idea how these were charged to my account and what they represent and would greatly appreciate an explanation as soon as possible. I plan on disputing them with my bank if necessary.
Thank you.
Byron Miller
byron.miller@cox.net
[protected]

P
P
Paresh Mahale
Flint, US
Send a message
Apr 27, 2016 5:52 pm UTC

this is 2nd time i am been charged as google services 1$. i dont know why you guys are charging,
plz mail me on paresh.mahale@wayne.edu
oe call [protected]

F
F
fine09
Brooklyn, US
Send a message
Jul 16, 2009 10:20 pm UTC

HELLO I HAVE BEEN WATING ON MY GOOGLE MONEY KIT FOR ABOUT THREE WEEKS KNOW AND I HAVE NOT SEEN THE FEDX TRUCK YET.. I DID GET AN PHONE CALL FROM SOMEONE STATED THAT THEY WHERE FROM GOOGLE BUT THEY SAID THAT MY PRODUCT GOT LOST AND THEY WELL BE SENDING A NEW ONE AND IT HAS NOT CAME. THE NUMBER THAT THEY CALL ME FROM WAS [protected]. AND THEY BUSINESS HOURS ARE FROM 8-8PM .GOOGLE IS TAKIN MONEY OFF MY CARD AND I HAAVE NOT GOT ONE KIT.

T
T
Tomlinson, L.
Ponoka, CA
Send a message
Aug 21, 2009 3:18 pm UTC

I signed up for the Google Money Kit, but did not read the small print about being billed every month for over $90.00 Canadian. I would like the account closed and be reimbursed the money they charged to my Visa Card.
Thank You
Lesley( Lee ) Tomlinson
fawcett41@gmail.com

F
F
fusion
Springfield, US
Send a message
May 08, 2010 9:45 pm UTC
Verified customer This complaint was posted by a verified customer. Learn more

What needs to be done is to take what they are selling and offer it to the masses for free thereby diluting the value of the product and making them move on. I don't know what the product is that they are selling but I listened to about fifteen seconds of the spiel and knew it was a scam.

I am a web designer. If you want to know how to make money on the web, contact me. You'll find me a http://www.fusioninternetgroup.com/.

K
K
Ksmith
Devens, US
Send a message
Jan 06, 2010 9:17 pm UTC
Verified customer This complaint was posted by a verified customer. Learn more

Look it is not Google's responsibility to shut down a fradulent organization or organizations just because the company puts the name "Google" on it. Furthermore, what could Google do in this situation? Google may seem like a god because of its huge presence, but it is not a law enforcement agency and cannot push a button and shut another company down just because it has the name Google attached to it. Maybe if the scam was run through one of Google's own programs (like Google Adsense) they could do something, but if a company is selling a kit through other channels then Google can't really do crap about it. Everyone seems to think Google is a very safe company to do business with, and I am sure they are right. The problem is that scammers know of this great reputation and are willing to take advantage of this by putting Google's name on their products knowing that many investors are not going to bother authenticating whether or not these products are actually associated with Google.

I'm sincerely sorry that you were scammed here and I do not mean to imply that anyone who bought this kit is stupid, but you obviously had a serious lapse of judgment when you purchased this. You need to take responsibility for your own bad decision rather than blaming Google for this. I found a blog promoting this kit and everything about it was fishy. I immediately did a search for the "Google money kit" and behold! this website was the first thing I found! If any of you had taken thirty seconds to do some research you would have confirmed that this was a scam, which is what you should already have suspected.

P
P
Paul G Luv
Flint, US
Send a message
Jan 05, 2010 12:52 am UTC

If you're looking for a business that helps save people money, as well as puts people into business for themselves. A company that has been in Inc. 500 for the past 4 years, on course to make 2010 to be it's 5th year, and inducted into Inc. 500's hall of fame. A company that has grown over 800 percent in a down economy. Checkout 5Linx This company is far from a scam, and you build residual income as well. www.5linx.net/latiishmarketing I've been in this business a little more than a year, and I've made more money with this company, than any business I've ever done. Google this company, and you will find out. You can also find it on youtube. www.5linx.net/latiishmarketing

E
E
edward.g
Pennellville, US
Send a message
Jan 03, 2010 12:57 pm UTC
Verified customer This complaint was posted by a verified customer. Learn more

Wow I will agree with most of the people on here about doing your research and not just falling for one of these scams. And how some of you dont even have the common sense to look at the terms of the conditions of what you are spending your money on. Here is the first paragraph of the actual contract you are signing up for.

"Your Membership is the perfect tool to start making money on the Internet. We've helped thousands of people achieve their goals. By submitting this form you are ordering income membership and the trial membership for $1.95 Instant Access. If you do not cancel within the 3-day trial period, you will be charged a one-time amount of $129.95. In addition, you will be provided access to an online Learning Center which will bill at $39.98, unless you cancel, 30-days from the date of enrollment and you will be re-billed every 30 days at $39.98 per month until cancelled. To cancel call [protected] M-F, 7am-5pm, MST within 3 days of the date you ordered."

So the real way these people make all this money? Yes it is by posting links, but the links are to get you to sign up for this and then get charged over and over and over again. And if they only get the chance to charge you once thats still free money for them. So next time you see some awesome, easy and cheap way to make money at home just take some of your free time to do some research and dont contribute to some ### who is smarter then you and is making some very good money off of you.

J
J
JoeNob
Fort Lauderdale, US
Send a message
Dec 30, 2009 2:39 am UTC

I think if the "Google Money Kit" really worked, Google would be the ones promoting it and have it posted on every page that loads on google.com. Anything dealing with emillionaire is a scam. They'll claim that they will only charge you that $1.99 for shipping but there is nothing being shipped to you. After you submit your credit card or debit card number, you will be charged that $1.99 AND another charge of $200. 30 days later, you will be charged again for another $200.

As for the phone number they have stated by the charge on the card statement, it's a fax number and you won't be able to get through. If you try to press charges through the police department, they find out the charges come from Nigeria (I think). I remember it was somewhere overseas and in Africa.

Brock Felt is probably one of the biggest scammers online. He is located in Tampa, Florida but has his charges coming from overseas. That way, he can't be touched from cops in the US.

If people cared more about their information, they would research the programs first before submitting their information. No matter how great the website looks and what they offer, always research "Product Name Scam" to make sure it's real or not. Even count down timers on websites are false. It's used as a call-to-action tactic and makes people think it's real but it's only a source code that counts down. If you wait for the timer to end, it'll only stay at 0:00 or will reset and count down again.

People can put blames on anything but it's themselves that are to blame for not caring about who they are sending information out to. I'm not going to lie and say I haven't been scammed before because I have BUT I learned from it and do what I can to help people from getting scammed from the places I have tried.

For anyone wanting to know how people are making money online and want to do it themselves, I know of 2 legit websites that do work. They are:

http://www.wealthyaff.info
and
http://www.wordpress-goldmine.info

Yes, they do cost money to sign up but they teach you everything you need to know about making money online and how to do it. Both websites offer forums with over 3, 000 members and every member is a real person. Everyone helps each other on those sites and works together to help everyone succeed. These are the only 2 legit websites I have came across, so far.

H
H
Humble
Johnstown, US
Send a message
Nov 30, 2009 12:12 am UTC

All,
A while back I got caught in a scam, some may have heard about it .. SMile Brite or something like that... it is what it is, a scam as much a scam as it comes. Furthermore, and what I find interesting is that, I wonder the person with the top response calling people stupid isn't part of the same scam as the Smile Brite scam(fraser carter)? Sure seems to use the same wording as the fellow on the complaint page as Smile Brite. Simply walk away from this one you all. Oh, hope you have a reputable Bank that recognizes that you have been taken and willing to work with you, thanks goodness for mine. If you can't then report your card stolen and get another one issued ... it negates the previous card and generates a new card number for you. Thus, the one you gave and were scammed with is no longer active. Down side, they could actually come at you as collections and get a negative mark on your credit score...counter the move by coping this page of complaints and dispute with the Credit Bureau you should have a problem after that.

ComplaintsBoard
B
11:40 pm UTC
Resolved
The complaint has been investigated and resolved to the customer’s satisfaction.

Google fraudulent charges

I just received a pending charge of 72.21 on my debit card from google chest after
receiving a 3.88 charge 8 days ago. It was unauthorized and I do not care about the goddam small print. They are thieves and they know it. I hope someone from their company reads this because you stole from the wrong guy. I don't care who it may be, but "anyone" connected in anyway with this company better believe there's an afterlife.

Read full complaint and 184 comments
Resolved

The complaint has been investigated and resolved to the customer’s satisfaction.

Hide full review
184 comments
Add a comment
G
G
Geanina Sainu
GB
Send a message
Feb 12, 2016 10:33 am UTC

No matter the order, if you write Romanians are not Gipsies and other nationality such as Germans are not Gipsyes, GOOGLE Translate as :" Romanians are Gipsies, Germans are not Gipsies". What the hell is that?!

View 0 more photos
O
O
olusanya odeyemi
GB
Send a message
Jun 03, 2015 2:47 pm UTC

i observed that unathorised amount of £13.99 was charged from my account today 3rd june 2015 .i have no knowledge of this transaction at all.pls kindly cancel this game and refund my money asap. thanks

N
N
nisi
XK
Send a message
Sep 01, 2009 4:40 pm UTC

shese kompjuter p.4
1.6ghz
Local Disk 40 GB
ram 512MB
windows vista ultimate v5.0
QMIMI 50 EVRO APO 70 DOLLARE $
EMAIL:NISI_02@HOTMAIL.COM

N
N
nisi
XK
Send a message
Sep 01, 2009 4:37 pm UTC

shese kompjuter p.4
ghz 1.6
ram 512MB
Local Disk 40 gb
windows vista ultimate v 5.0
qmimi 50 evro
email nisi_02@hotmail.com

P
P
pissed 0ff
Burlington, CA
Send a message
Aug 20, 2009 2:29 pm UTC

I have been getting charges to my credit card each month since April. Today I phoned the latest one that appears on my credit card statement. Each month doing the same thing, only each month it is a new name, new number, IF there is a number. I have yet to receive a credit. I also called my cc company today to cancel my card number and they are sending me dispute forms which i am going to get in asap. I am also contacting an attorney as this is fraud. I live in Canada but have lived in the US, and I know this type of "business" does not go well with the authorities there. I just cannot believe they are *still* having access to people's accounts. On this site alone there is way more than enough complaints about this pyramid company.

Y
Y
YOUNGTAZ_24
US
Send a message
Aug 12, 2009 9:47 pm UTC

I'M VERY PISSED ABOUT THIS SITUATION, I THOUGHT I WAS GETTING INTO SOMETHING THAT WOULD HELP BENEFIT ME AND MY FAMILY. AND COME TO FIND OUT THESE PEOPLE ARE SCAM ARTIST. I HAVE BEEN CHARGED THE 72.21, ALONG WITH AN ADDITIONAL 24.87, WHICH THEY DO THIS AT RANDOM WITHOUT ANY NOTICE. DURING THE TIMES OF OUR ECONOMY, MONEY IS TIGHT, CHECKS FOR OTHER BILLS ARE OUT, AND THESE CHARGES ARE AFFECTING MY PERSONNEL ACCOUNTS, WHICH CAUSES OVERDRAFTS AT MY BANK. NOW IM PAYING OVERDRAFT PAYMENTS, WITH MONEY I DONT HAVE, IF ANYONE KNOWS INFORMATION ABOUT FILING A SUIT OR ANY OTHER ACTIONS PLEASE CONTACT ME AT YOUNGTAZ_24@YAHOO.COM. THANK YOU...

R
R
RJ_Moore
Powell River, CA
Send a message
Jul 31, 2009 1:48 pm UTC

For all those who have been 'scammed' by this Google Treasure online business, you are well positioned to advise your bank, credit card company, etc., that you did not authorize the transaction, and you are well within your rights to request Google Treasure AND your bank, credit card company, etc., provide you with a copy of the information which they relied upon to claim authorization.

If you do not receive the information copy, then, I believe you have a right to cease all business legitimately with Google Treasure and your bank, credit card company, etc.

I requested the information from the Royal Bank of Canada Visa, and Google Treasure with no answer, and I have told them to cancel the charges, or cancel the card, emphasizing that bill will never get paid, as it was never authorized, and in my case, when I received the CD and a follow up telephone call about the CD and the monthly subscription, all on the same day, I emphatically told them no to the subscription, don't need it, don't want it, don't have time for it, and to cancel everything.

This, of course, did no good, as they charged me $72 later anyway.

To make matters worse, although they gave me a cancellation number for future billings, they would not refund, and advised the agents who called on the follow up weren't authorized to accept any cancellations or to issue any cancellation numbers.

It's purely fraud.

Ask for a copy of the information and get on with it.

My bank has actually argued for the charges to be valid, and they do not respond to my request for information.

C
C
Chuck Turner
GB
Send a message
Jul 12, 2009 5:52 pm UTC

For refunds - get your bank to do a chargeback:
http://www.chrismalta.com/scamtip1.asp

And file a complaint with the FTC: http://www.FTC.gov

or www.ic3.gov

B
B
Bob140
Tipp City, US
Send a message
Jul 12, 2009 4:41 pm UTC

I have been taken for 144.14 so far and they said they would stop taking out money from my debit card. We are calling the bank Monday to see if we can stop payment. They took out the money in May and June. We called Google and we have a confirmation number that they would reemburse us. Instead of giving back the money they took another 72 dollars out. We just got our statement for June and we never figured this would happen to us. The Telephone number they gave us is [protected]. Thats the number, flood the phone lines, so they can't get out put all kinds of haveick up to stop this con. I thought google was a good outfit. I guess not lets all go back to micosoft and tell google to shove it. Bob

J
J
Joe718
Quincy, US
Send a message
Jul 08, 2009 10:14 pm UTC

100% True they also took $72.21 from me. Does anybody what should i do to get my money back?
If you have any suggestions please email me at abstract_20@hotmail.com

Trust badge
Collect Your Trust Badge
Be recognized for outstanding customer service
Google Category
Google is ranked 1 among 35 companies in the Websites category